Официальное опубликование правовых актов
ОФИЦИАЛЬНОЕ ОПУБЛИКОВАНИЕ
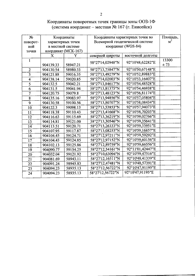
Постановление Правительства Красноярского края от 17.01.2017 № 16-п
"Об утверждении границ зон охраны объектов культурного наследия федерального и регионального значения, расположенных в г. Енисейске, особых режимов использования земель и требований к градостроительным регламентам в границах данных зон охраны"
Номер опубликования: 2400201701260004
Дата опубликования: 26.01.2017
Страница №3 из 240:
Увеличить