Официальное опубликование правовых актов
ОФИЦИАЛЬНОЕ ОПУБЛИКОВАНИЕ
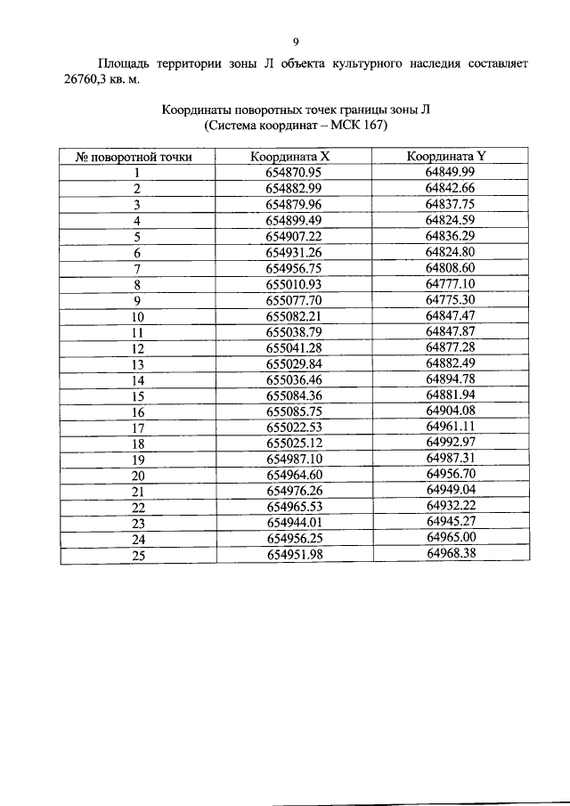
Постановление Правительства Красноярского края от 15.11.2016 № 566-п
"Об утверждении границ зон охраны объекта культурного наследия регионального значения "Братская могила тринадцати рабочих-подпольщиков, зверски замученных белогвардейцами в 1919 году", особых режимов использования земель и требований к градостроительным регламентам в границах данных зон"
Номер опубликования: 2400201611220001
Дата опубликования: 22.11.2016
Страница №11 из 17:
Увеличить