Официальное опубликование правовых актов
ОФИЦИАЛЬНОЕ ОПУБЛИКОВАНИЕ
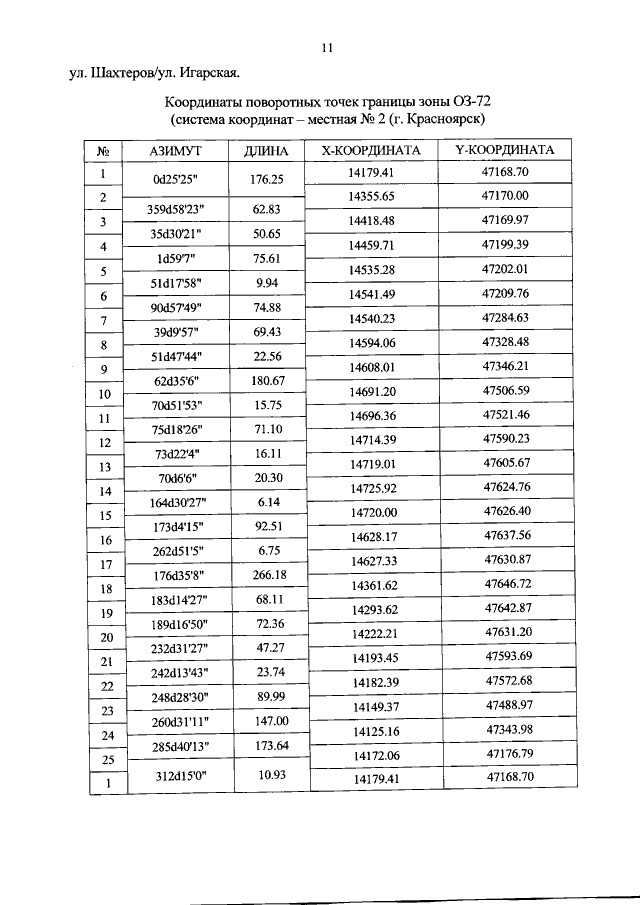
Постановление Правительства Красноярского края от 02.08.2016 № 386-п
"Об утверждении границ зон охраны отдельных объектов культурного наследия федерального и регионального значения, расположенных в г. Красноярске, особых режимов использования земель и требований к градостроительным регламентам в границах данных зон охраны"
Номер опубликования: 2400201608080001
Дата опубликования: 08.08.2016
Страница №12 из 40:
Увеличить