Официальное опубликование правовых актов
ОФИЦИАЛЬНОЕ ОПУБЛИКОВАНИЕ
Приказ администрации Краснодарского края от 05.03.2026 № 237-КН
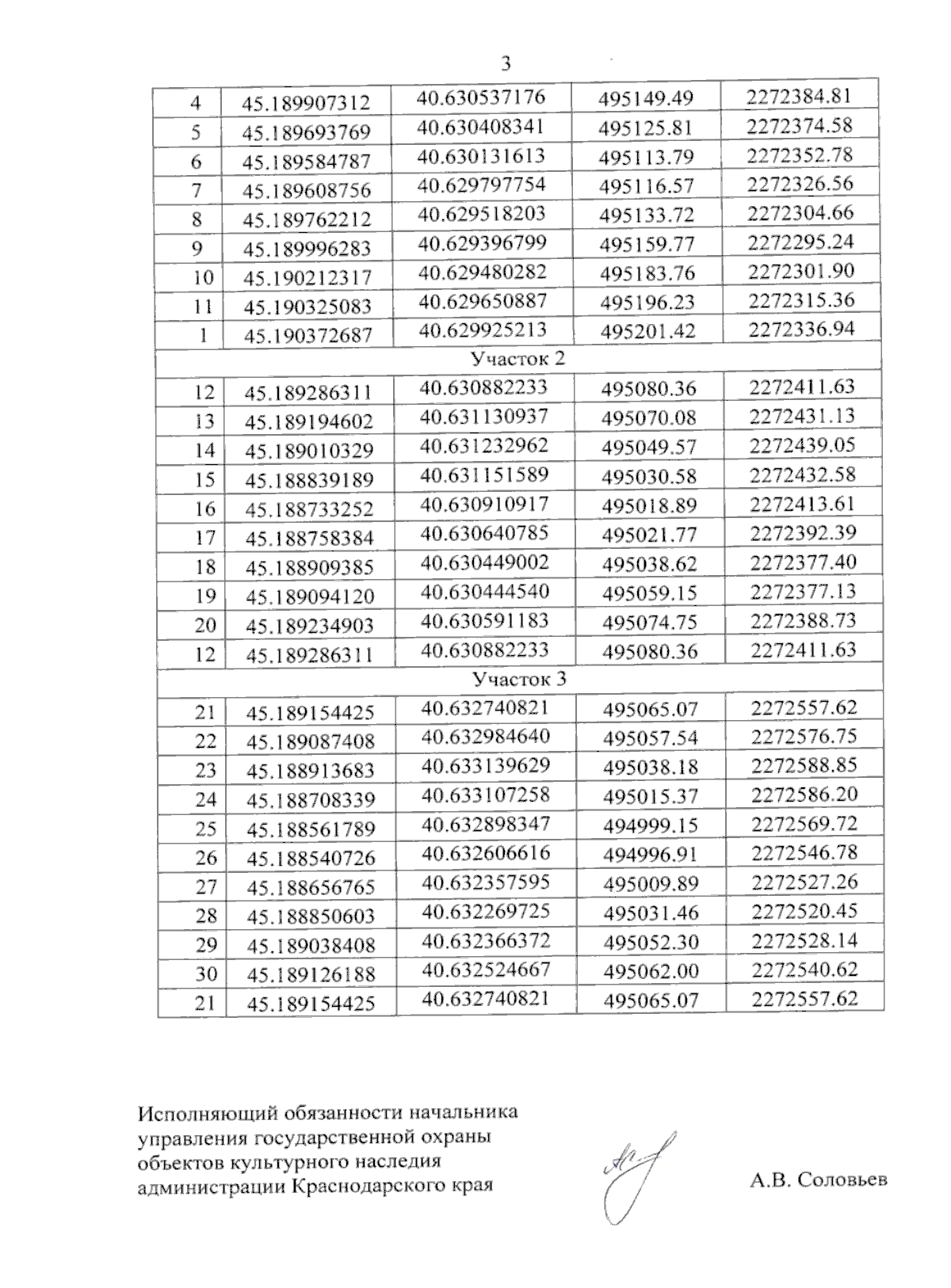
"Об утверждении границ и режима использования территории объекта культурного наследия федерального значения "Курганная группа "Пушкинская 2" (3 насыпи)", эпоха бронзы – позднее средневековье, Краснодарский край, Гулькевичский район, с. Пушкинское, 1,75 км к северо–северо–востоку от северо–восточного угла села"
Номер опубликования: 2301202603110006
Дата опубликования: 11.03.2026
Страница №5 из 6:
Увеличить