Приказ администрации Краснодарского края от 04.09.2025 № 1053-КН
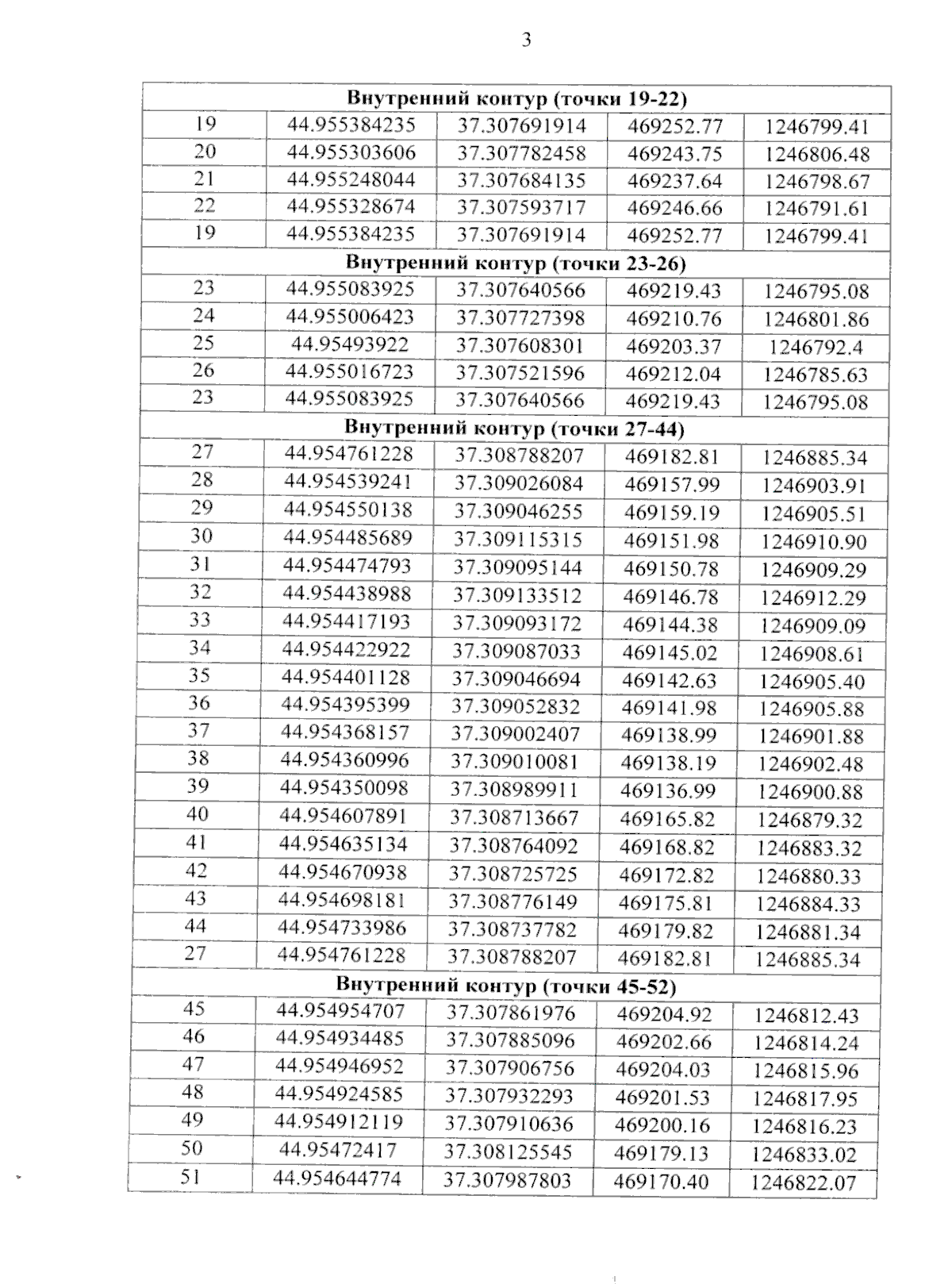
"Об утверждении границ и режима использования территории выявленного объекта культурного наследия "Группа усадеб "Воскресенское 6", Краснодарский край, г.-к. Анапа, в 0,5 км к северо-западу от здания Анапского ж/д вокзала, на противоположной стороне трассы М-25, в 0,1 км от ее обочины, на обрабатываемом поле; 0,69 км по направлению 166° (истинный север, отсчет угла правый) к центру комплекса от ж/д моста через трассу М-25; 0,68 км по направлению 301° (истинный север, отсчет угла правый) к центру комплекса от здания ж/д вокзала г-к Анапа (Краснодарский край, г. Анапа, пос. Верхнее Джемете"
"Об утверждении границ и режима использования территории выявленного объекта культурного наследия "Группа усадеб "Воскресенское 6", Краснодарский край, г.-к. Анапа, в 0,5 км к северо-западу от здания Анапского ж/д вокзала, на противоположной стороне трассы М-25, в 0,1 км от ее обочины, на обрабатываемом поле; 0,69 км по направлению 166° (истинный север, отсчет угла правый) к центру комплекса от ж/д моста через трассу М-25; 0,68 км по направлению 301° (истинный север, отсчет угла правый) к центру комплекса от здания ж/д вокзала г-к Анапа (Краснодарский край, г. Анапа, пос. Верхнее Джемете"
Номер опубликования: 2301202509090005
Дата опубликования:
09.09.2025
