Официальное опубликование правовых актов
ОФИЦИАЛЬНОЕ ОПУБЛИКОВАНИЕ
Приказ администрации Краснодарского края от 30.08.2024 № 1173-КН
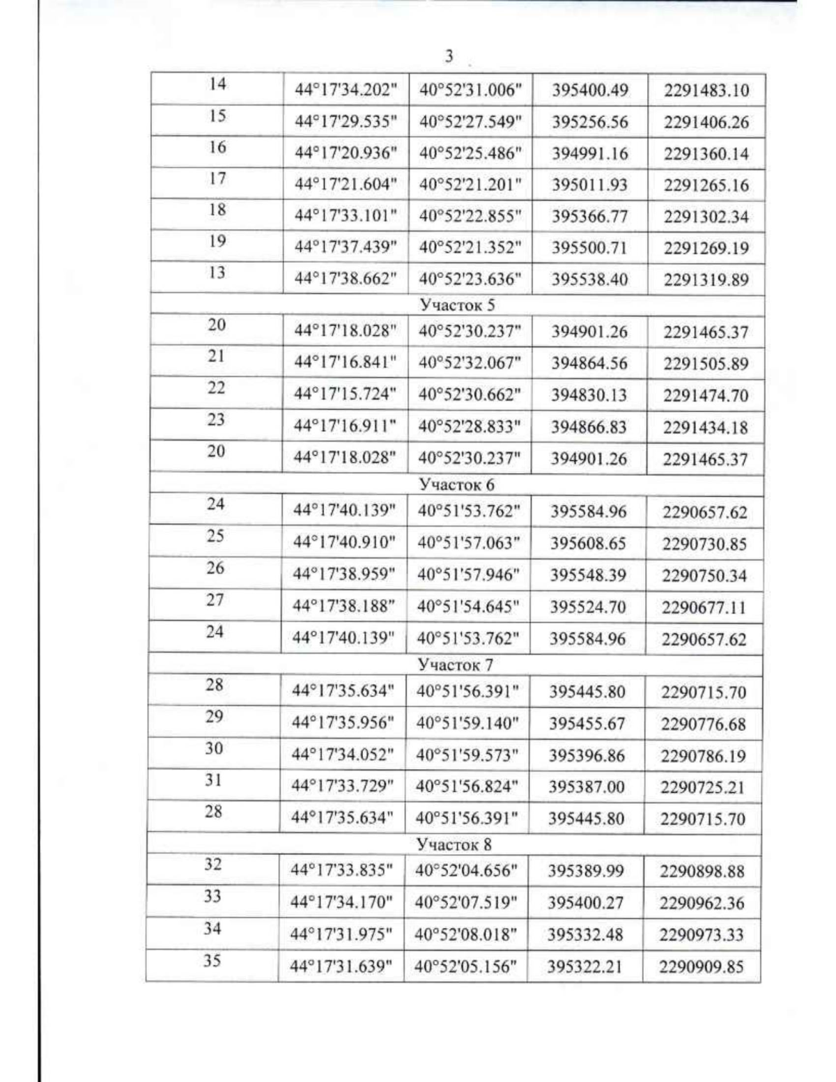
"Об утверждении границ и режима использования территории объекта культурного наследия федерального значения "Курганная группа "Свободный Мир 2" (23 насыпи)", III–II тыс. до н.э., Краснодарский край, Мостовский район, между х. Свободный Мир и х. Центральным"
Номер опубликования: 2301202409050028
Дата опубликования: 05.09.2024
Страница №5 из 7:
Увеличить