Официальное опубликование правовых актов
ОФИЦИАЛЬНОЕ ОПУБЛИКОВАНИЕ
Приказ администрации Краснодарского края от 24.06.2024 № 642-КН
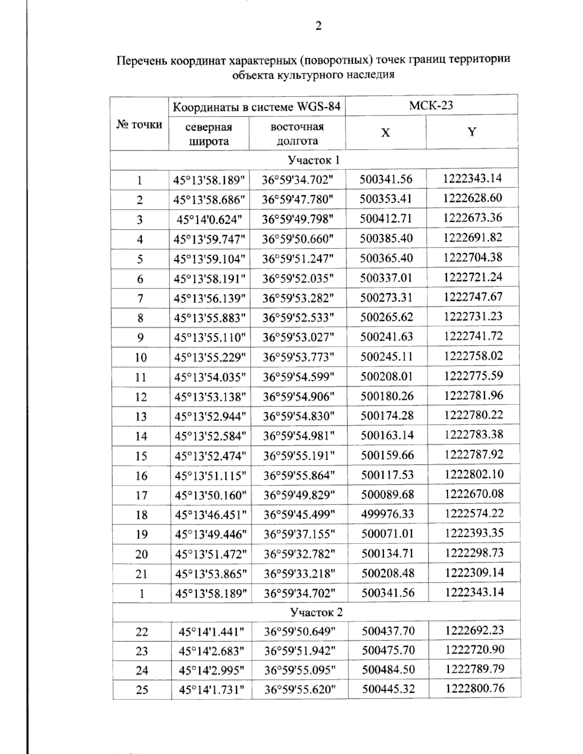
"Об утверждении границ и режима использования территории выявленного объекта культурного наследия "Поселение "Вышестеблиевская 15", Краснодарский край, Темрюкский район, ст-ца Вышестеблиевская, 2,8 км к северу от северной окраины станицы"
Номер опубликования: 2301202407020006
Дата опубликования: 02.07.2024
Страница №4 из 7:
Увеличить