Официальное опубликование правовых актов
ОФИЦИАЛЬНОЕ ОПУБЛИКОВАНИЕ
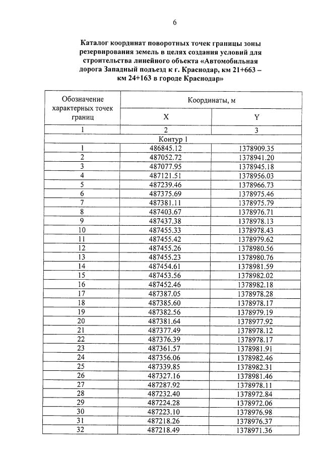
Приказ министерства транспорта и дорожного хозяйства Краснодарского края от 27.08.2021 № 702
"О резервировании земельных участков для государственных нужд Краснодарского края"
Номер опубликования: 2301202109020005
Дата опубликования: 02.09.2021
Страница №9 из 21:
Увеличить