Официальное опубликование правовых актов
ОФИЦИАЛЬНОЕ ОПУБЛИКОВАНИЕ
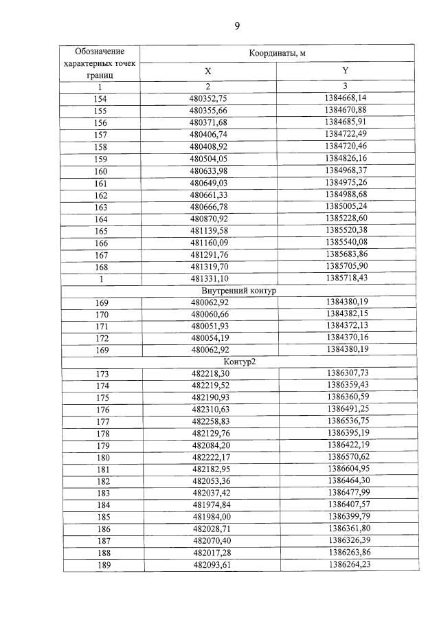
Приказ министерства транспорта и дорожного хозяйства Краснодарского края от 26.08.2021 № 700
"О резервировании земельных участков для государственных нужд Краснодарского края"
Номер опубликования: 2301202109020001
Дата опубликования: 02.09.2021
Страница №11 из 16:
Увеличить