Официальное опубликование правовых актов
ОФИЦИАЛЬНОЕ ОПУБЛИКОВАНИЕ
Приказ администрации Краснодарского края от 25.05.2021 № 317-КН
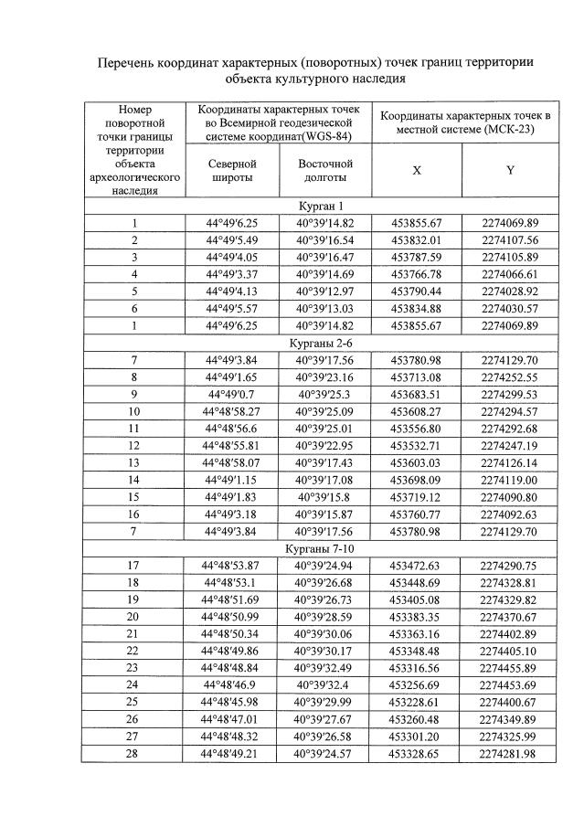
"Об утверждении границ и режима использования территорий некоторых объектов культурного наследия федерального значения, расположенных на территории муниципального образования Курганинский район Краснодарского края"
Номер опубликования: 2301202106010010
Дата опубликования: 01.06.2021
Страница №30 из 33:
Увеличить