Официальное опубликование правовых актов
ОФИЦИАЛЬНОЕ ОПУБЛИКОВАНИЕ
Приказ администрации Краснодарского края от 25.05.2021 № 303-КН
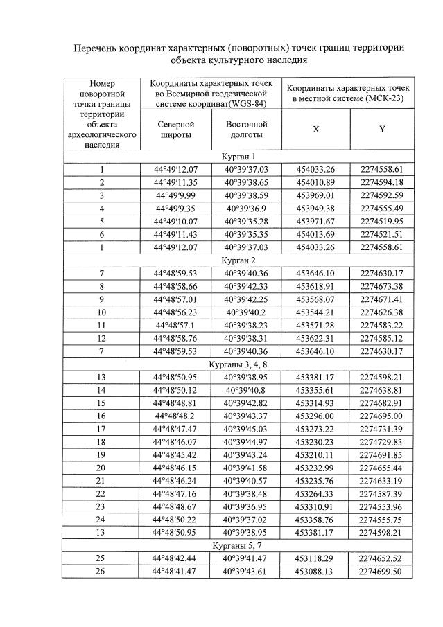
"Об утверждении границ и режима использования территории объекта культурного наследия федерального значения "Курган", эпоха бронзы – средневековье, Краснодарский край, город Армавир, поле у поворота левой надпойменной террасы р. Кубань, 1,5 км к северо–западу от молочно–товарной фермы № 1 совхоза "Юбилейный"
Номер опубликования: 2301202105310003
Дата опубликования: 31.05.2021
Страница №88 из 103:
Увеличить