Официальное опубликование правовых актов
ОФИЦИАЛЬНОЕ ОПУБЛИКОВАНИЕ
Приказ администрации Краснодарского края от 16.03.2021 № 80-КН
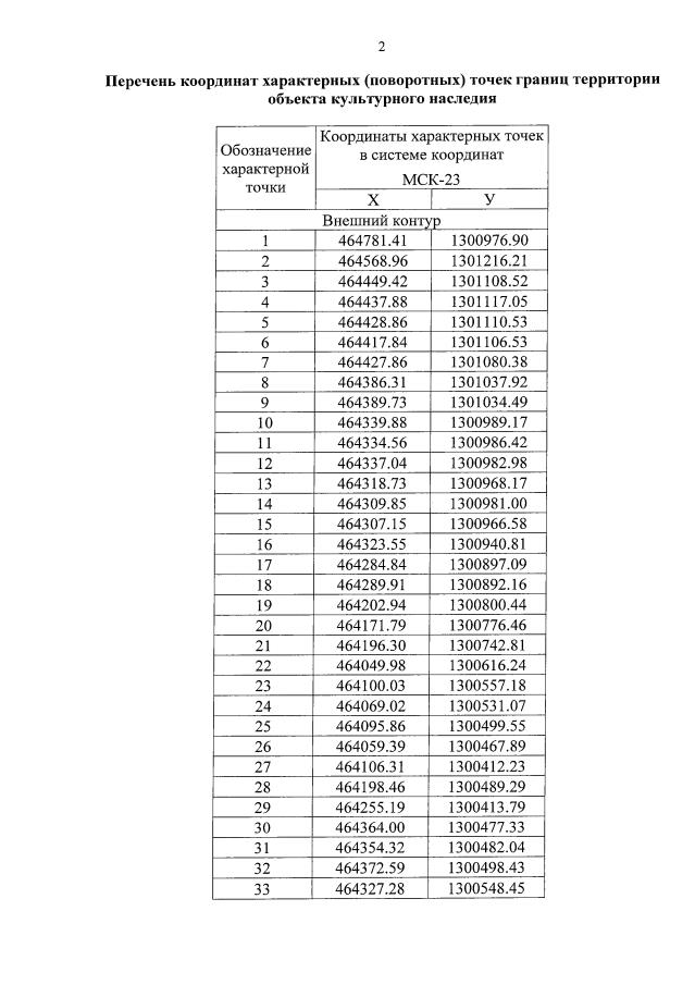
"Об утверждении границ и режима использования территории объектов культурного наследия регионального значения "Крымский консервный комбинат, награжденный за развитие промышленного производства Орденом Ленина", 1929 г., 1971 г., Краснодарский край, Крымский район, г. Крымск, ул. Свердлова, 2 и "Памятник В.И. Ленину", 1947 г., Краснодарский край, Крымский район, г. Крымск, ул. Свердлова, 2, ООО "Промышленная компания Крымский консервный комбинат", а также установлении зон охраны, утверждении режимов использования земель и требований к градостроительным регламентам в границах территорий данных зон объекта культурного наследия регионального значения "Крымский консервный комбинат, награжденный за развитие промышленного производства Орденом Ленина", 1929 г., 1971 г., Краснодарский край, Крымский район, г. Крымск, ул. Свердлова, 2"
Номер опубликования: 2301202103230001
Дата опубликования: 23.03.2021
Страница №5 из 17:
Увеличить