Официальное опубликование правовых актов
ОФИЦИАЛЬНОЕ ОПУБЛИКОВАНИЕ
Приказ администрации Краснодарского края от 16.11.2018 № 287-КН
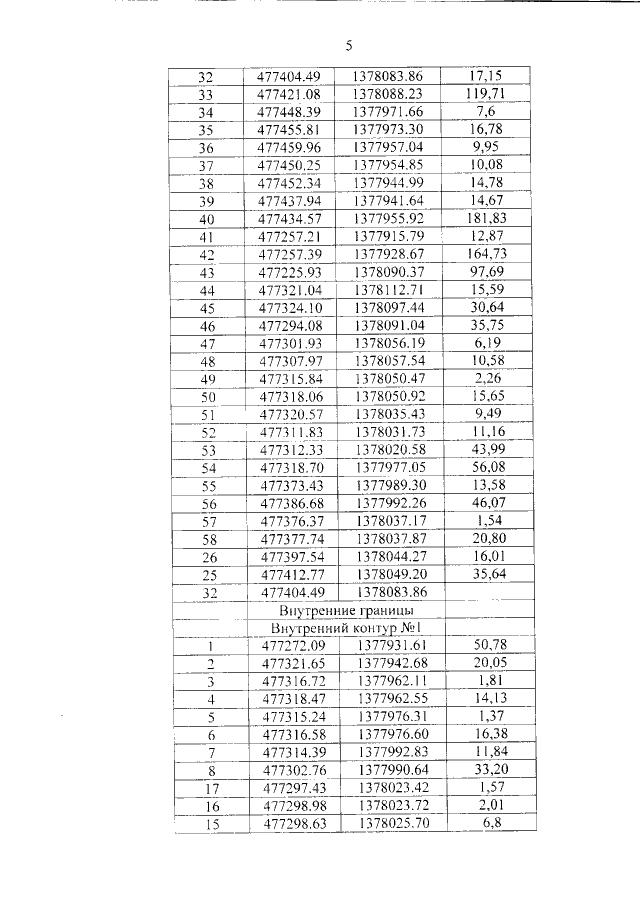
"О внесении изменений в приказ администрации Краснодарского края от 23 мая 2018 года № 126-КН "Об утверждении предметов охраны, границ территорий и зон охраны объектов культурного наследия регионального значения, расположенных в г. Краснодаре, квартал № 112: "Дом купцов братьев Х.П. и К.П. Богарсуковых, 1900 - 1901 годы", г. Краснодар, ул. Гимназическая, 67, лит. А, А1; "Гостиница "Гранд Отель" Е.Г. Губкиной, 1888 - 1900 годы", г. Краснодар, угол ул. Гимназической, 69 и ул. Красноармейской, 39, лит. А, Б; "Гостиница "Централь" братьев Х.П. и К.П. Богарсуковых, 1870-е годы, 1910 г., архитектор А.А. Козлов", г. Краснодар, угол ул. Гимназической, 65 и ул. Красной, 58, лит. А, А1; "Коммунальный доходный дом, 1926 г., архитектор М.Н. Ишунин. На этом месте располагался дом Акритаса, в котором арендовало помещение Второе Общественное собрание, 1888 г., 1896 - 1913 годы. Здесь выступали певец Л.В. Собинов и композитор А.Н. Скрябин, 1911 г., 1912 г.", г. Краснодар, угол ул. им. Гоголя, 66 и ул. Красной, 64, лит. А"
Номер опубликования: 2301201811230001
Дата опубликования: 23.11.2018
Страница №16 из 21:
Увеличить