Официальное опубликование правовых актов
ОФИЦИАЛЬНОЕ ОПУБЛИКОВАНИЕ
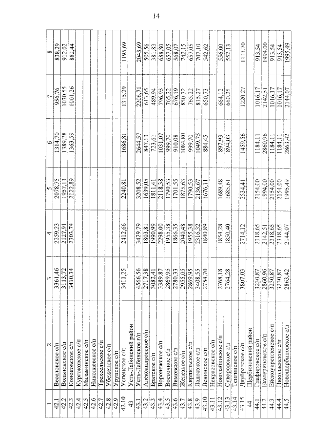
Постановление главы администрации (губернатора) Краснодарского края от 19.12.2017 № 980
"Об установлении размера региональных стандартов стоимости жилищно-коммунальных услуг в Краснодарском крае на 2018 год"
Номер опубликования: 2300201712250013
Дата опубликования: 25.12.2017
Страница №30 из 61:
Увеличить