Официальное опубликование правовых актов
ОФИЦИАЛЬНОЕ ОПУБЛИКОВАНИЕ
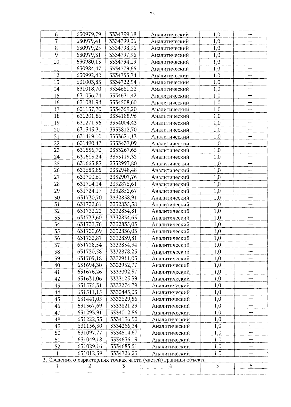
Приказ Министерства природных ресурсов и экологии Алтайского края от 05.08.2025 № 816
"Об установлении зон санитарной охраны подземных источников питьевого и хозяйственно-бытового водоснабжения населения села Титово, села Шумиха, поселка Льнозавод Тогульского района Алтайского края"
(Зарегистрирован 05.08.2025 № 1115)
Номер опубликования: 2201202508050002
Дата опубликования: 05.08.2025
Страница №23 из 29:
Увеличить