Официальное опубликование правовых актов
ОФИЦИАЛЬНОЕ ОПУБЛИКОВАНИЕ
Приказ Управления государственной охраны объектов культурного наследия Алтайского края от 04.09.2024 № 501
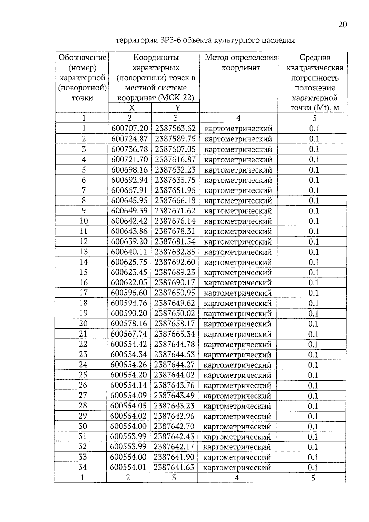
"Об установлении зон охраны объекта культурного наследия регионального значения "Здание учебное", 1950-е гг., расположенного по адресу: Алтайский край, г. Барнаул, просп. Ленина, 40, утверждении режимов использования земель и требований к градостроительным регламентам в границах территорий данных зон"
(Зарегистрирован 04.09.2024 № 995)
Номер опубликования: 2201202409040015
Дата опубликования: 04.09.2024
Страница №20 из 34:
Увеличить