Официальное опубликование правовых актов
ОФИЦИАЛЬНОЕ ОПУБЛИКОВАНИЕ
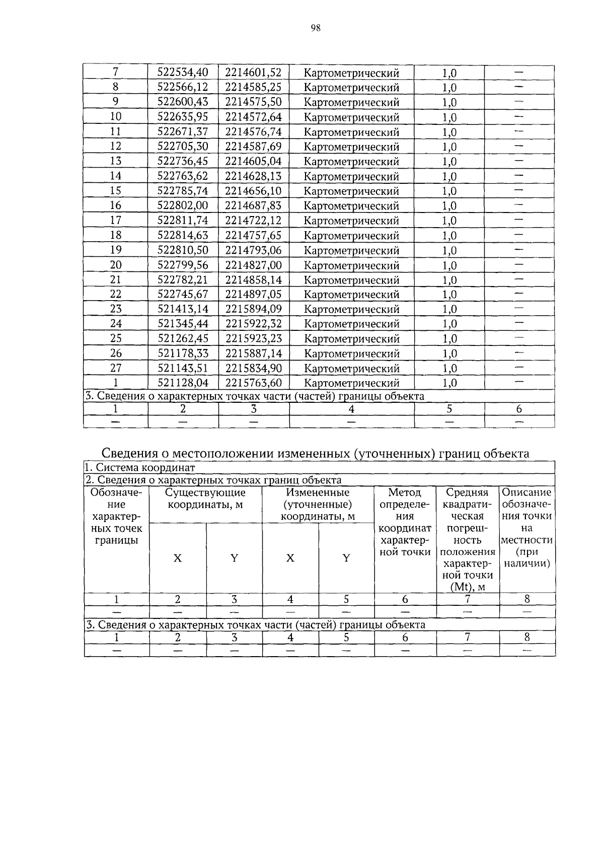
Приказ Министерства природных ресурсов и экологии Алтайского края от 08.08.2024 № 906
"Об установлении зон санитарной охраны подземных источников питьевого и хозяйственно-бытового водоснабжения населения сел Гуселетово, Закладное, Романово, Сидоровка и поселков Бурановка, Рассвет Романовского района Алтайского края"
(Зарегистрирован 08.08.2024 № 812)
Номер опубликования: 2201202408090007
Дата опубликования: 09.08.2024
Страница №98 из 123:
Увеличить