Официальное опубликование правовых актов
ОФИЦИАЛЬНОЕ ОПУБЛИКОВАНИЕ
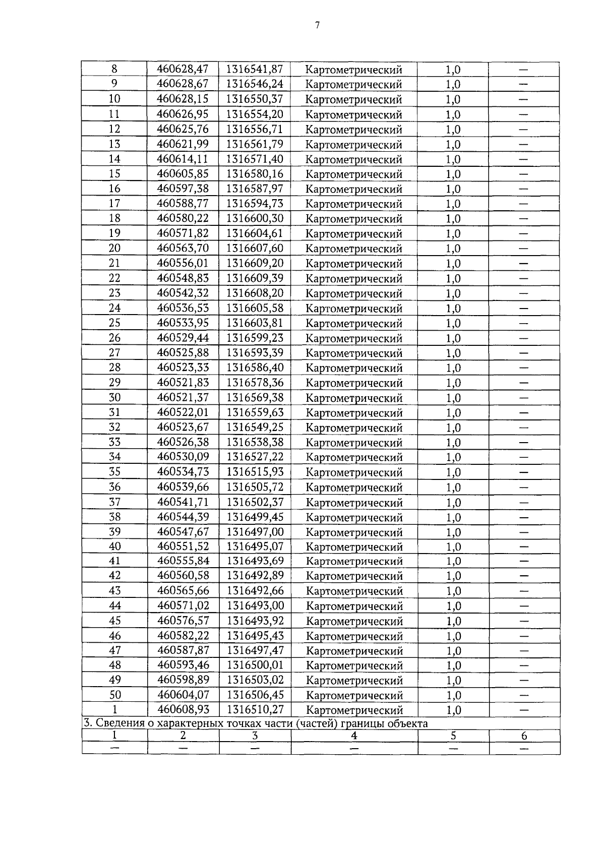
Приказ Министерства природных ресурсов и экологии Алтайского края от 24.11.2023 № 1457
"Об установлении зон санитарной охраны подземного источника питьевого и хозяйственно-бытового водоснабжения ООО КХ "Партнер" (село Полуямки, Михайловский район, Алтайский край)"
(Зарегистрирован 24.11.2023 № 1831)
Номер опубликования: 2201202311270039
Дата опубликования: 27.11.2023
Страница №7 из 13:
Увеличить