Официальное опубликование правовых актов
ОФИЦИАЛЬНОЕ ОПУБЛИКОВАНИЕ
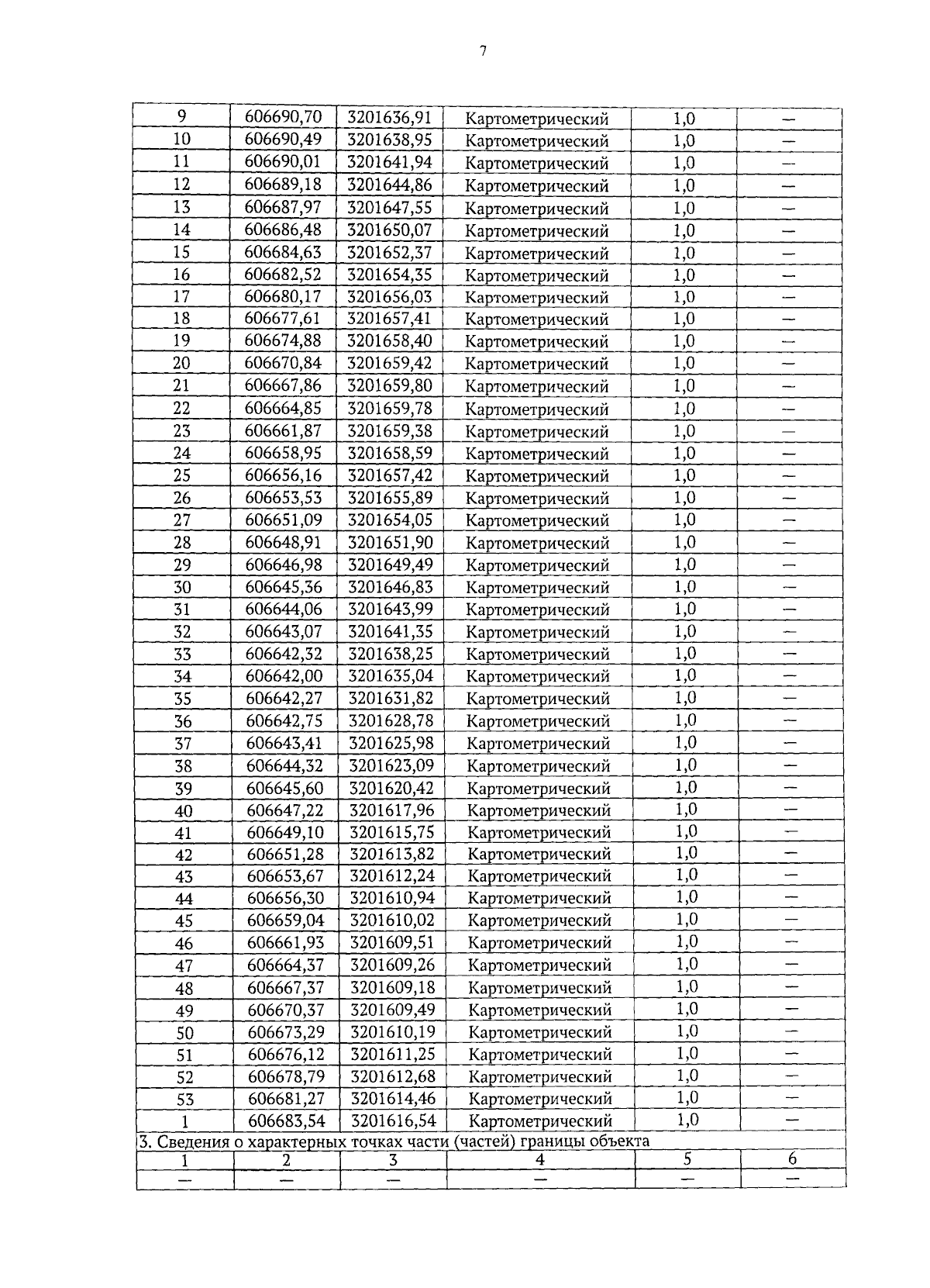
Приказ Министерства природных ресурсов и экологии Алтайского края от 25.09.2023 № 1165
"Об установлении зон санитарной охраны подземного источника питьевого и хозяйственно-бытового водоснабжения ООО "ТПК Бастион" (город Новоалтайск, Алтайский край)"
(Зарегистрирован 26.09.2023 № 1174)
Номер опубликования: 2201202309270014
Дата опубликования: 27.09.2023
Страница №7 из 13:
Увеличить