Официальное опубликование правовых актов
ОФИЦИАЛЬНОЕ ОПУБЛИКОВАНИЕ
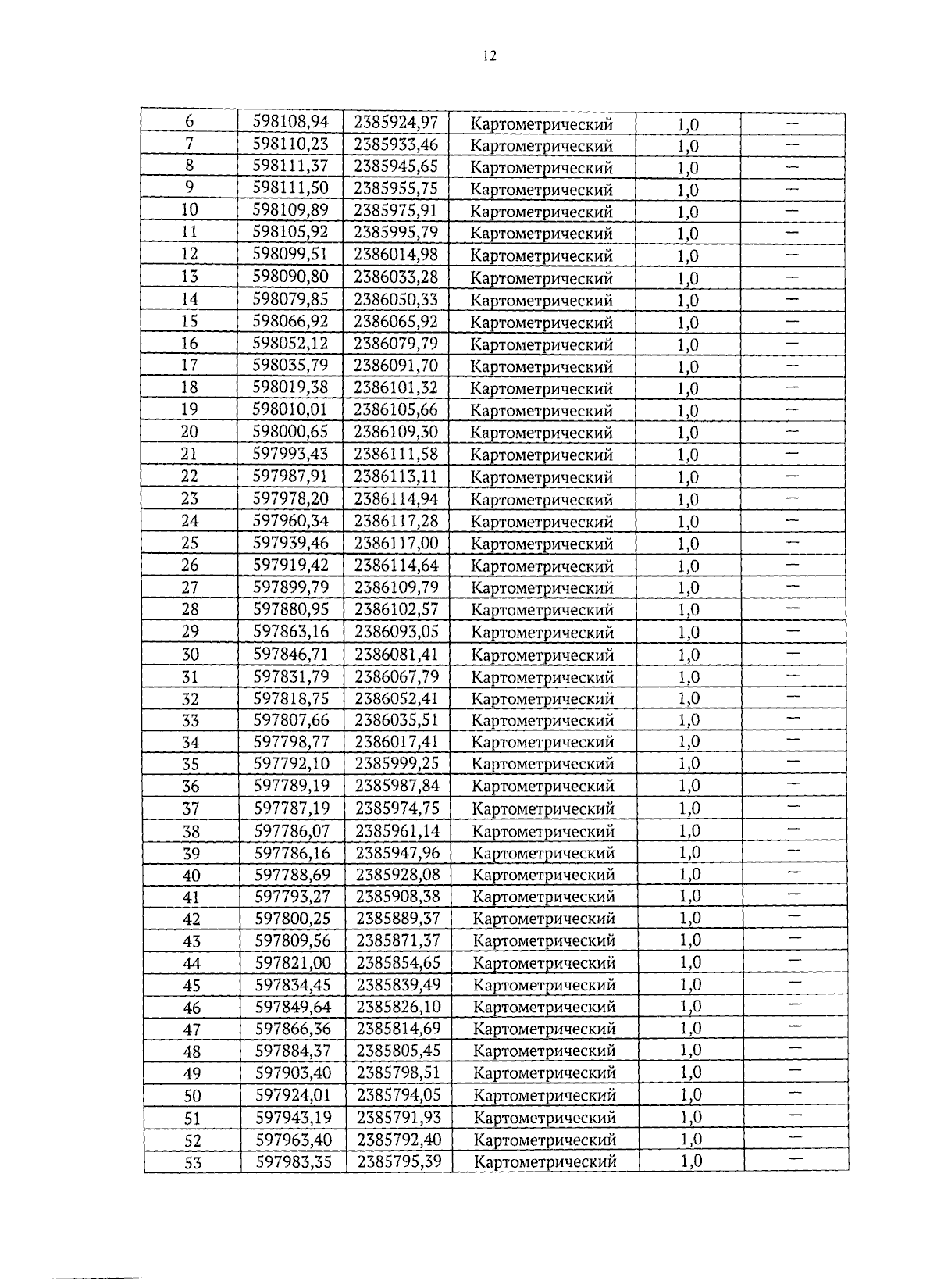
Приказ Министерства природных ресурсов и экологии Алтайского края от 25.09.2023 № 1158
"Об установлении зон санитарной охраны подземных источников питьевого и хозяйственно-бытового водоснабжения АО "Алтайский завод агрегатов" (город Барнаул, Алтайский край)"
(Зарегистрирован 27.09.2023 № 1186)
Номер опубликования: 2201202309270007
Дата опубликования: 27.09.2023
Страница №12 из 30:
Увеличить