Официальное опубликование правовых актов
ОФИЦИАЛЬНОЕ ОПУБЛИКОВАНИЕ
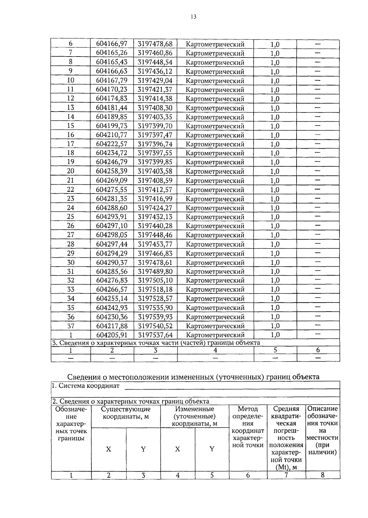
Приказ Министерства природных ресурсов и экологии Алтайского края от 04.09.2023 № 1093
"Об установлении зон санитарной охраны подземных источников питьевого и хозяйственно-бытового водоснабжения ФКУ ЛИУ-8 УФСИН России по Алтайскому краю (город Новоалтайск, Алтайский край)"
(Зарегистрирован 04.09.2023 № 1057)
Номер опубликования: 2201202309040003
Дата опубликования: 04.09.2023
Страница №13 из 40:
Увеличить