Официальное опубликование правовых актов
ОФИЦИАЛЬНОЕ ОПУБЛИКОВАНИЕ
Приказ Министерства природных ресурсов и экологии Алтайского края от 03.08.2023 № 959
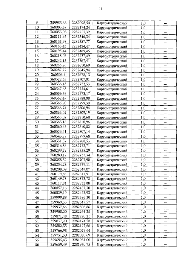
"Об установлении зон санитарной охраны подземного источника питьевого и хозяйственно-бытового водоснабжения ООО "Лаки Кэпитал" (город Змеиногорск, Змеиногорский район, Алтайский край)"
(Зарегистрирован 03.08.2023 № 960)
Номер опубликования: 2201202308030007
Дата опубликования: 03.08.2023
Страница №11 из 14:
Увеличить