Официальное опубликование правовых актов
ОФИЦИАЛЬНОЕ ОПУБЛИКОВАНИЕ
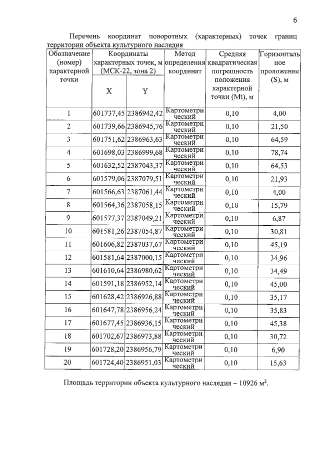
Приказ Управления государственной охраны объектов культурного наследия Алтайского края от 22.04.2019 № 90
"Об утверждении границ территории и режима использования территории объекта культурного наследия"
Номер опубликования: 2201201904290011
Дата опубликования: 29.04.2019
Страница №6 из 8:
Увеличить