Официальное опубликование правовых актов
ОФИЦИАЛЬНОЕ ОПУБЛИКОВАНИЕ
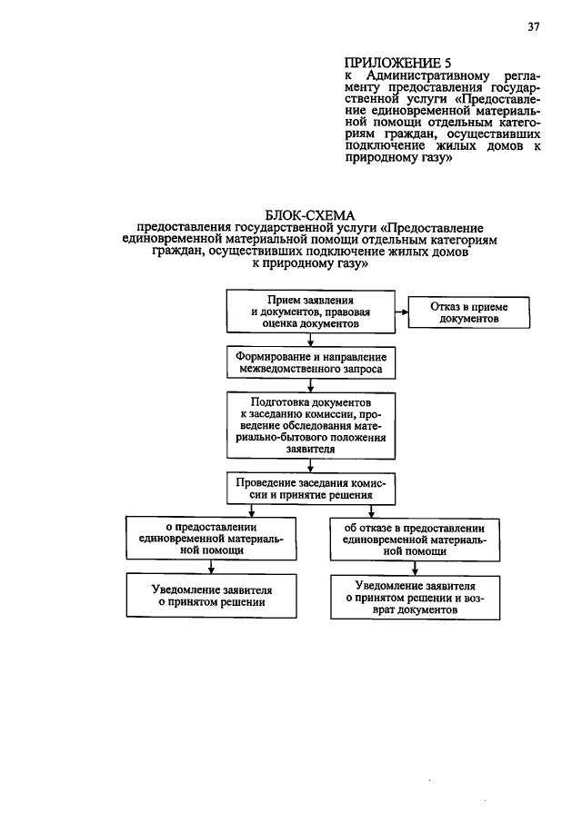
Приказ Министерства труда и социальной защиты Алтайского края от 05.10.2017 № 428
"О внесении изменений в приказ Главного управления Алтайского края по труду и социальной защите от 16.05.2016 № 176"
Номер опубликования: 2201201710060001
Дата опубликования: 06.10.2017
Страница №37 из 37:
Увеличить