Официальное опубликование правовых актов
ОФИЦИАЛЬНОЕ ОПУБЛИКОВАНИЕ
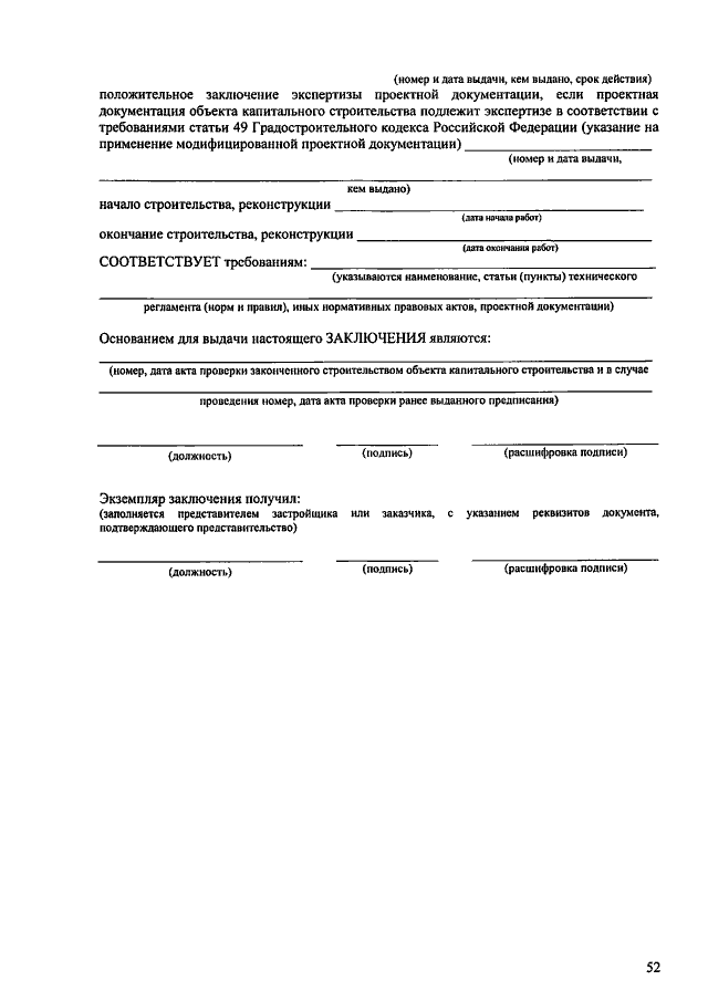
Приказ Государственной инспекции Алтайского края от 13.09.2016 № 140
"Об утверждении новой редакции Административного регламента исполнения Государственной инспекцией Алтайского края государственной функции по осуществлению регионального государственного строительного надзора при строительстве и реконструкции объектов капитального строительства"
Номер опубликования: 2201201609190004
Дата опубликования: 19.09.2016
Страница №52 из 54:
Увеличить