Официальное опубликование правовых актов
ОФИЦИАЛЬНОЕ ОПУБЛИКОВАНИЕ
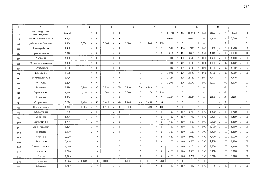
Постановление Правительства Алтайского края от 20.06.2017 № 224
"О внесении изменений в постановление Администрации края от 16.10.2014 № 479"
Номер опубликования: 2200201706220002
Дата опубликования: 22.06.2017
Страница №234 из 253:
Увеличить