Официальное опубликование правовых актов
ОФИЦИАЛЬНОЕ ОПУБЛИКОВАНИЕ
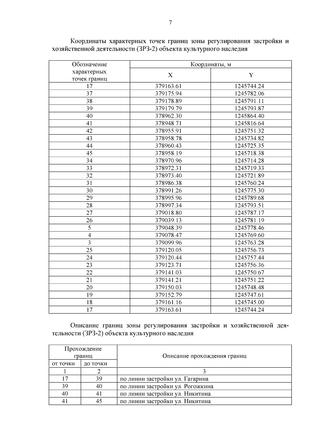
Постановление Кабинета Министров Чувашской Республики от 28.02.2024 № 69
"Об установлении зон охраны объекта культурного наследия (памятника истории и культуры) регионального (республиканского) значения "Здание тюрьмы (каменное)", 1857 г., и утверждении требований к градостроительным регламентам в границах территорий данных зон"
Номер опубликования: 2100202402290017
Дата опубликования: 29.02.2024
Страница №9 из 16:
Увеличить