Официальное опубликование правовых актов
ОФИЦИАЛЬНОЕ ОПУБЛИКОВАНИЕ
Постановление Кабинета Министров Чувашской Республики от 11.10.2023 № 644
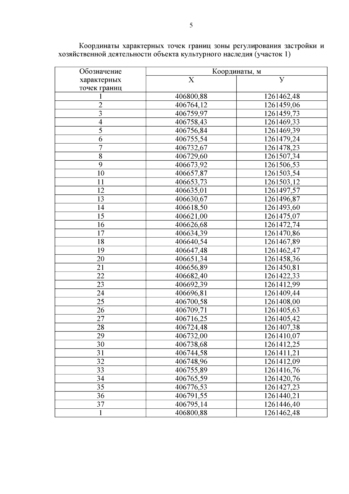
"Об установлении зон охраны объекта культурного наследия (памятника истории и культуры) регионального (республиканского) значения "Каменный дом Лесотехнического завода", конец XIX в., и утверждении требований к градостроительным регламентам в границах территорий данных зон"
Номер опубликования: 2100202310130016
Дата опубликования: 13.10.2023
Страница №7 из 27:
Увеличить