Официальное опубликование правовых актов
ОФИЦИАЛЬНОЕ ОПУБЛИКОВАНИЕ
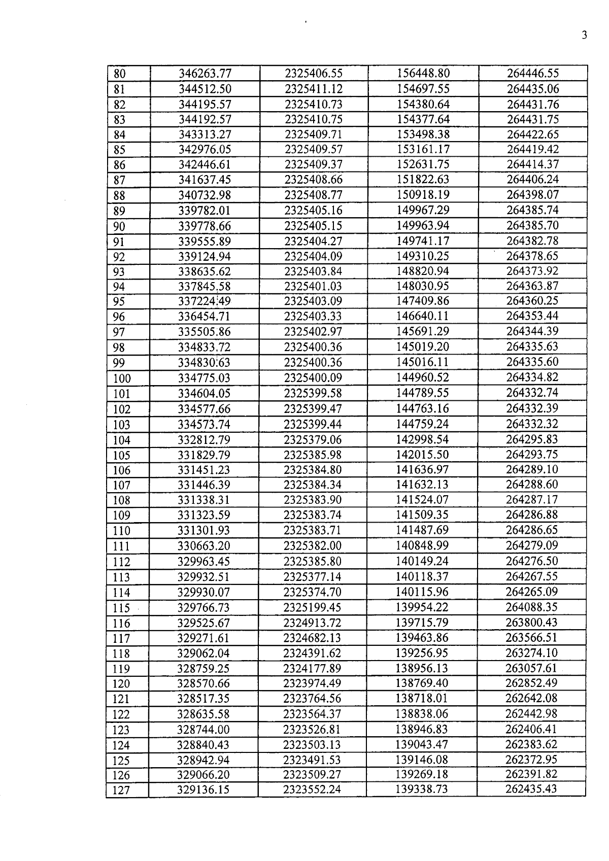
Закон Чеченской Республики от 28.02.2024 № 8-РЗ
"ОБ УТВЕРЖДЕНИИ СОГЛАШЕНИЯ ОБ УСТАНОВЛЕНИИ ГРАНИЦЫ МЕЖДУ СУБЪЕКТАМИ РОССИЙСКОЙ ФЕДЕРАЦИИ СТАВРОПОЛЬСКИМ КРАЕМ И ЧЕЧЕНСКОЙ РЕСПУБЛИКОЙ"
Номер опубликования: 2000202402290003
Дата опубликования: 29.02.2024
Страница №6 из 12:
Увеличить