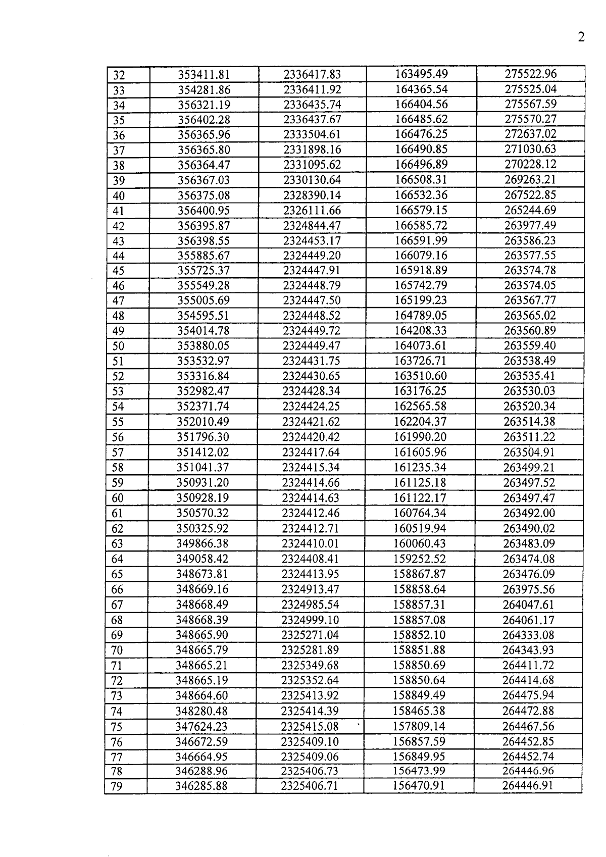
Закон Чеченской Республики от 28.02.2024 № 8-РЗ
"ОБ УТВЕРЖДЕНИИ СОГЛАШЕНИЯ ОБ УСТАНОВЛЕНИИ ГРАНИЦЫ МЕЖДУ СУБЪЕКТАМИ РОССИЙСКОЙ ФЕДЕРАЦИИ СТАВРОПОЛЬСКИМ КРАЕМ И ЧЕЧЕНСКОЙ РЕСПУБЛИКОЙ"
"ОБ УТВЕРЖДЕНИИ СОГЛАШЕНИЯ ОБ УСТАНОВЛЕНИИ ГРАНИЦЫ МЕЖДУ СУБЪЕКТАМИ РОССИЙСКОЙ ФЕДЕРАЦИИ СТАВРОПОЛЬСКИМ КРАЕМ И ЧЕЧЕНСКОЙ РЕСПУБЛИКОЙ"
Номер опубликования: 2000202402290003
Дата опубликования:
29.02.2024
