Официальное опубликование правовых актов
ОФИЦИАЛЬНОЕ ОПУБЛИКОВАНИЕ
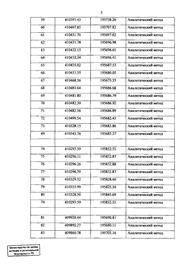
Постановление Правительства Республики Хакасия от 29.09.2021 № 482
"Об утверждении границ особо охраняемой территории регионального значения рекреационного назначения и отнесении земель к землям особо охраняемых территорий регионального значения рекреационного назначения "Зона отдыха "Ташеба"
Номер опубликования: 1900202109300009
Дата опубликования: 30.09.2021
Страница №5 из 9:
Увеличить