Официальное опубликование правовых актов
ОФИЦИАЛЬНОЕ ОПУБЛИКОВАНИЕ
Постановление Правительства Удмуртской Республики от 12.12.2024 № 671
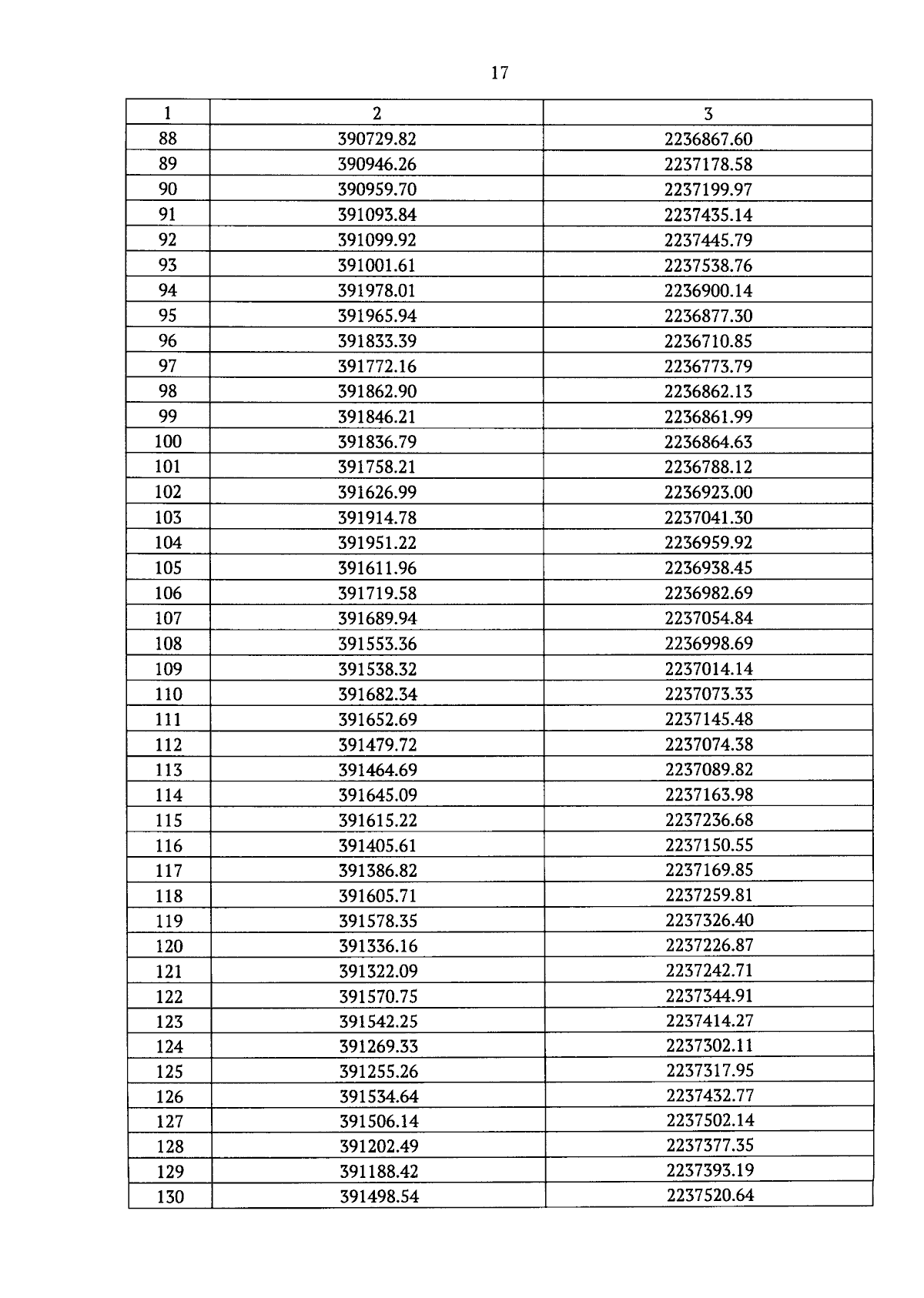
"Об утверждении Документации по планировке территории (проекта планировки территории), ограниченной с юго-запада проектируемой дорогой, с северо-запада – существующей жилой застройкой, с северо-востока и юго-востока – зелёными насаждениями, расположенной в с. Первомайский Завьяловского района Удмуртской Республики"
Номер опубликования: 1800202412180016
Дата опубликования: 18.12.2024
Страница №18 из 34:
Увеличить