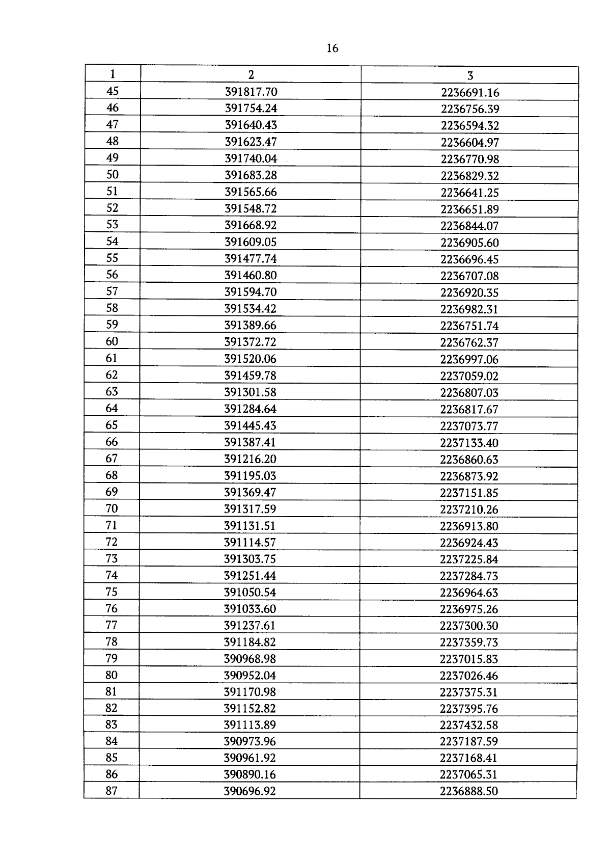
Постановление Правительства Удмуртской Республики от 12.12.2024 № 671
"Об утверждении Документации по планировке территории (проекта планировки территории), ограниченной с юго-запада проектируемой дорогой, с северо-запада – существующей жилой застройкой, с северо-востока и юго-востока – зелёными насаждениями, расположенной в с. Первомайский Завьяловского района Удмуртской Республики"
"Об утверждении Документации по планировке территории (проекта планировки территории), ограниченной с юго-запада проектируемой дорогой, с северо-запада – существующей жилой застройкой, с северо-востока и юго-востока – зелёными насаждениями, расположенной в с. Первомайский Завьяловского района Удмуртской Республики"
Номер опубликования: 1800202412180016
Дата опубликования:
18.12.2024
