Официальное опубликование правовых актов
ОФИЦИАЛЬНОЕ ОПУБЛИКОВАНИЕ
Постановление Правительства Удмуртской Республики от 31.08.2023 № 584
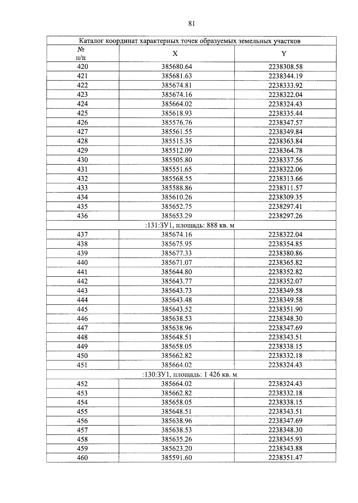
"Об утверждении документации по планировке территории (проекта планировки и проекта межевания территории) по объекту "Реконструкция автомобильной дороги 94 ОП РЗ А-1 Ижевск – Аэропорт, участок от с. Октябрьское до поворота на с. Завьялово в Завьяловском районе Удмуртской Республики"
Номер опубликования: 1800202309070002
Дата опубликования: 07.09.2023
Страница №82 из 89:
Увеличить