Официальное опубликование правовых актов
ОФИЦИАЛЬНОЕ ОПУБЛИКОВАНИЕ
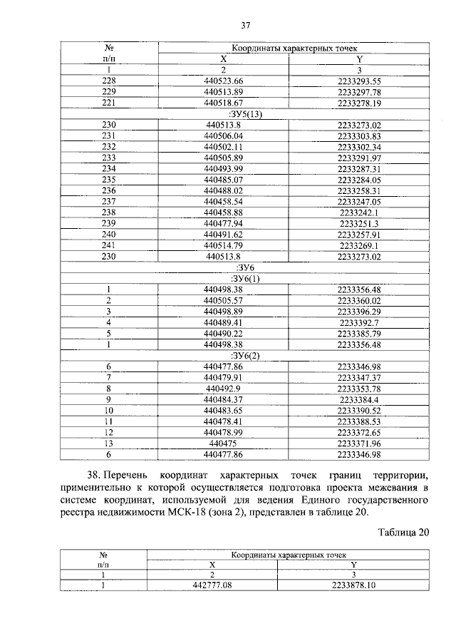
Постановление Правительства Удмуртской Республики от 02.08.2023 № 501
"Об утверждении документации по планировке территории (проекта планировки территории и проекта межевания территории) линейного объекта "Чутырско-Киенгопское газонефтяное месторождение. Чутырская площадь. Обустройство после бурения. Куст 52"
Номер опубликования: 1800202308080009
Дата опубликования: 08.08.2023
Страница №38 из 51:
Увеличить