Официальное опубликование правовых актов
ОФИЦИАЛЬНОЕ ОПУБЛИКОВАНИЕ
Постановление Правительства Удмуртской Республики от 11.07.2023 № 449
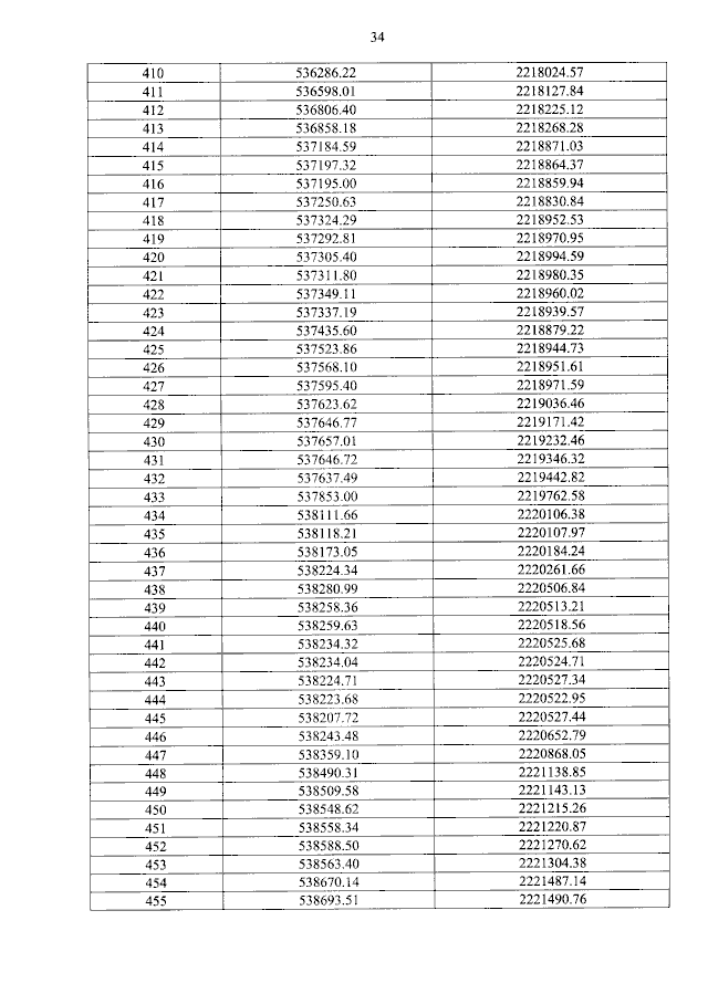
"Об утверждении документации по планировке территории (проекта планировки территории и проекта межевания территории) линейного объекта "Газопровод межпоселковый д. Оросово – д. Гордино – д. Подборново Балезинского района – д. Чиргино – д. Кабаково – д. Курегово – д. Коротаево Глазовского района Удмуртской Республики"
Номер опубликования: 1800202307170007
Дата опубликования: 17.07.2023
Страница №35 из 67:
Увеличить