Официальное опубликование правовых актов
ОФИЦИАЛЬНОЕ ОПУБЛИКОВАНИЕ
Указ Главы Удмуртской Республики от 30.06.2022 № 123
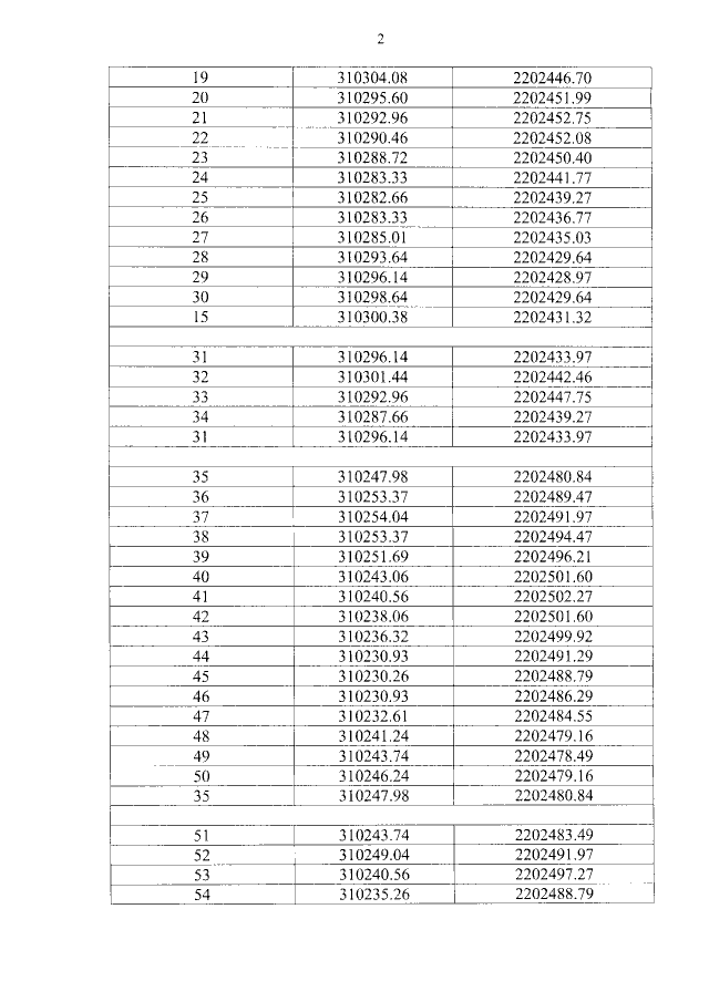
"О внесении изменений в Указ Главы Удмуртской Республики от 24 марта 2022 года № 48 "Об охранной зоне памятника природы регионального значения "Источники минеральных вод санатория "Варзи-Ятчи"
Номер опубликования: 1800202207040004
Дата опубликования: 04.07.2022
Страница №3 из 8:
Увеличить