Официальное опубликование правовых актов
ОФИЦИАЛЬНОЕ ОПУБЛИКОВАНИЕ
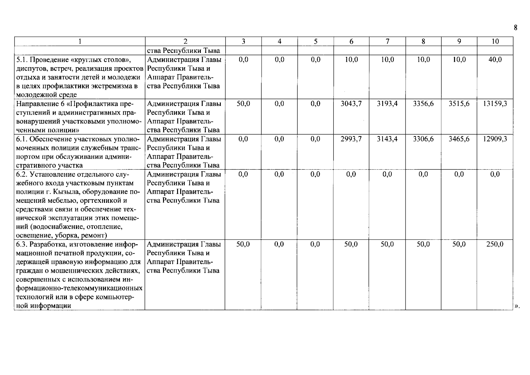
Постановление Правительства Республики Тыва от 28.12.2024 № 610
"О внесении изменений в государственную программу Республики Тыва "Обеспечение общественного порядка и противодействие преступности в Республике Тыва на 2024-2030 годы"
Номер опубликования: 1700202501030009
Дата опубликования: 03.01.2025
Страница №8 из 9:
Увеличить