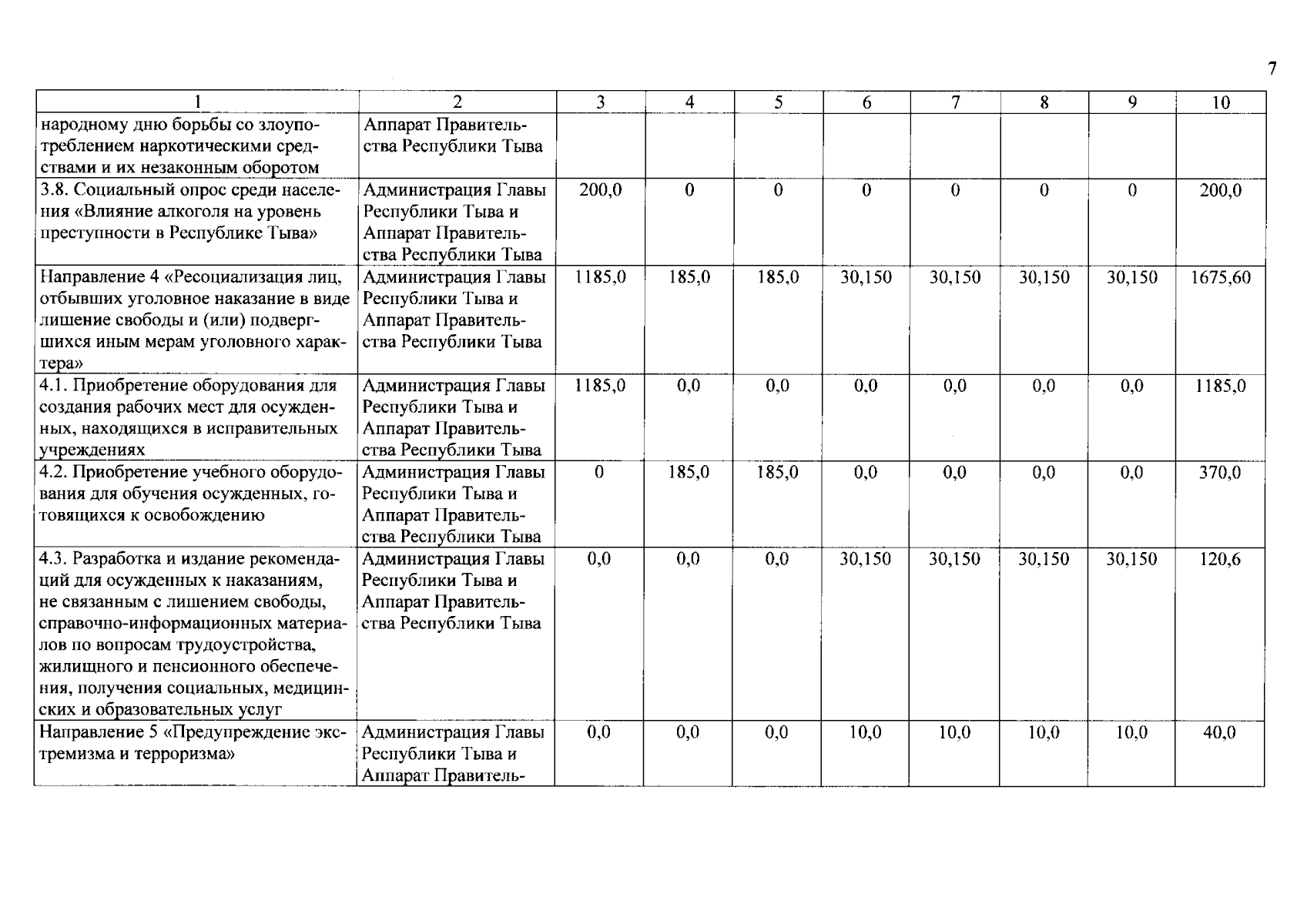
Постановление Правительства Республики Тыва от 28.12.2024 № 610
"О внесении изменений в государственную программу Республики Тыва "Обеспечение общественного порядка и противодействие преступности в Республике Тыва на 2024-2030 годы"
"О внесении изменений в государственную программу Республики Тыва "Обеспечение общественного порядка и противодействие преступности в Республике Тыва на 2024-2030 годы"
Номер опубликования: 1700202501030009
Дата опубликования:
03.01.2025
