Официальное опубликование правовых актов
ОФИЦИАЛЬНОЕ ОПУБЛИКОВАНИЕ
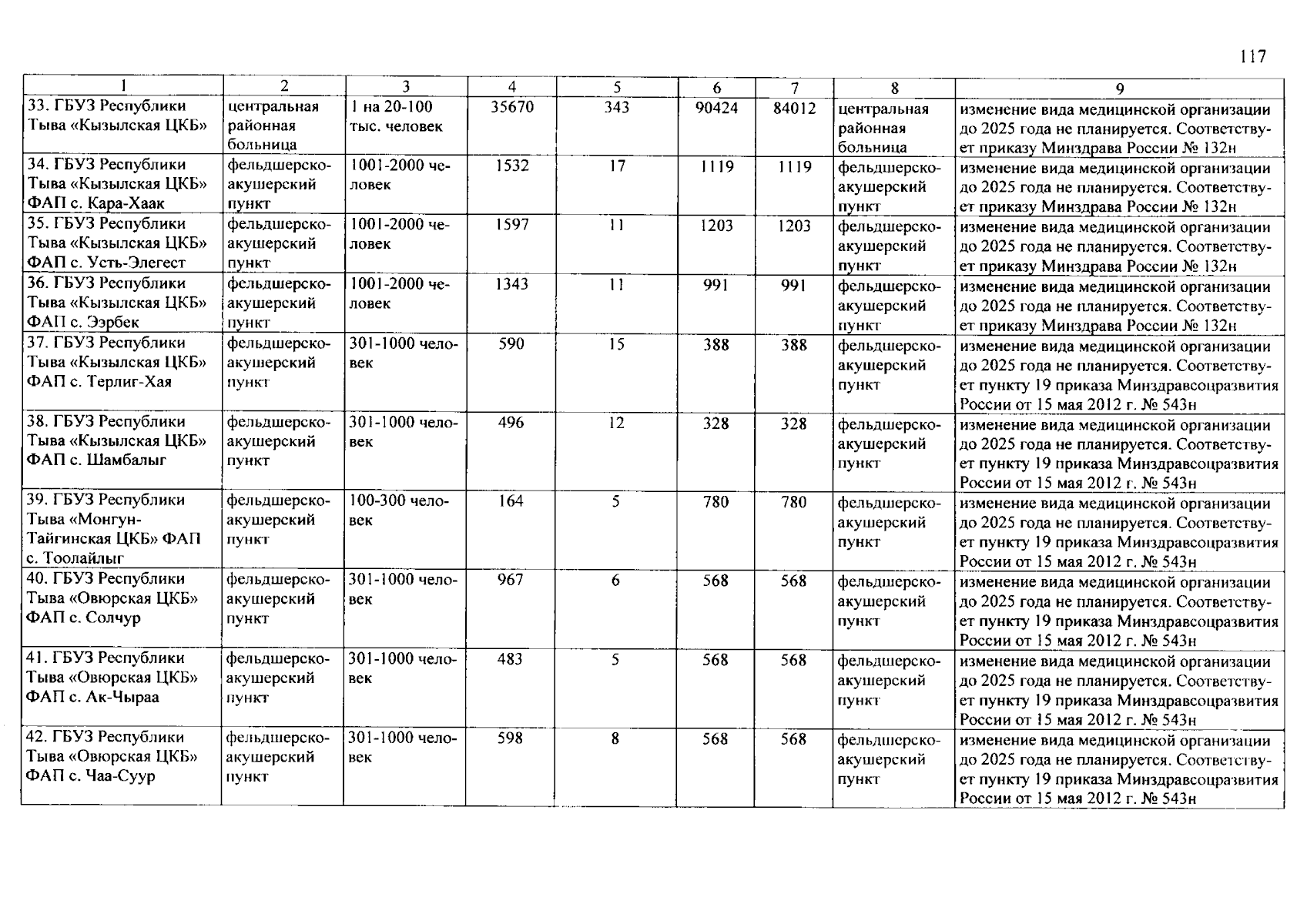
Постановление Правительства Республики Тыва от 27.12.2023 № 944
"О внесении изменений в региональную программу "Модернизация первичного звена здравоохранения Республики Тыва на 2021-2025 годы"
Номер опубликования: 1700202312290014
Дата опубликования: 29.12.2023
Страница №117 из 419:
Увеличить