Постановление Правительства Республики Тыва от 27.12.2023 № 944
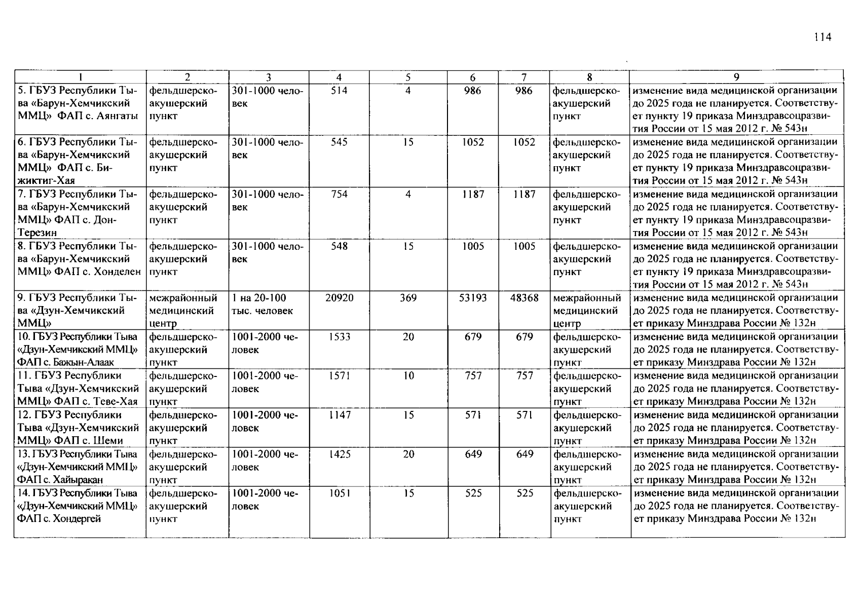
"О внесении изменений в региональную программу "Модернизация первичного звена здравоохранения Республики Тыва на 2021-2025 годы"
"О внесении изменений в региональную программу "Модернизация первичного звена здравоохранения Республики Тыва на 2021-2025 годы"
Номер опубликования: 1700202312290014
Дата опубликования:
29.12.2023
