Официальное опубликование правовых актов
ОФИЦИАЛЬНОЕ ОПУБЛИКОВАНИЕ
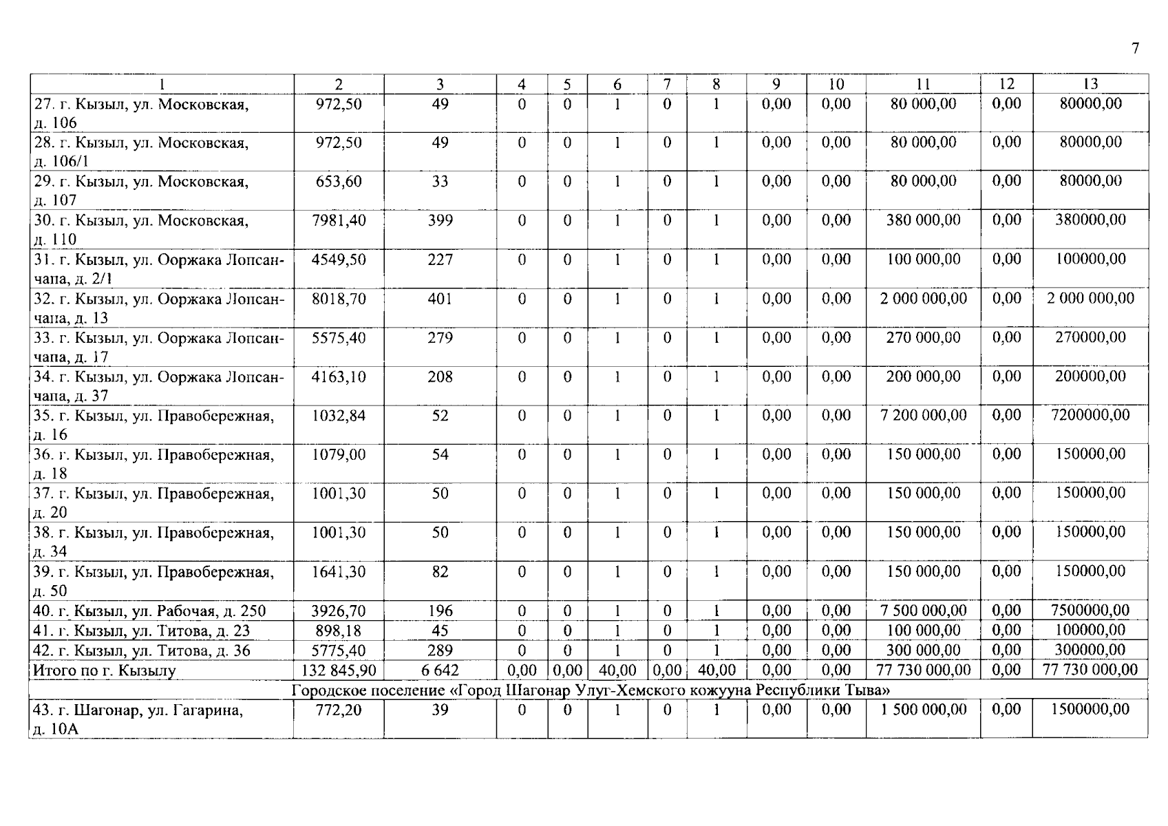
Постановление Правительства Республики Тыва от 12.09.2023 № 682
"О внесении изменения в краткосрочный план реализации региональной программы "Капитальный ремонт общего имущества в многоквартирных домах, расположенных на территории Республики Тыва, на 2014-2043 годы" на 2023-2025 годы"
Номер опубликования: 1700202309140005
Дата опубликования: 14.09.2023
Страница №7 из 11:
Увеличить