Постановление Правительства Республики Тыва от 12.09.2023 № 682
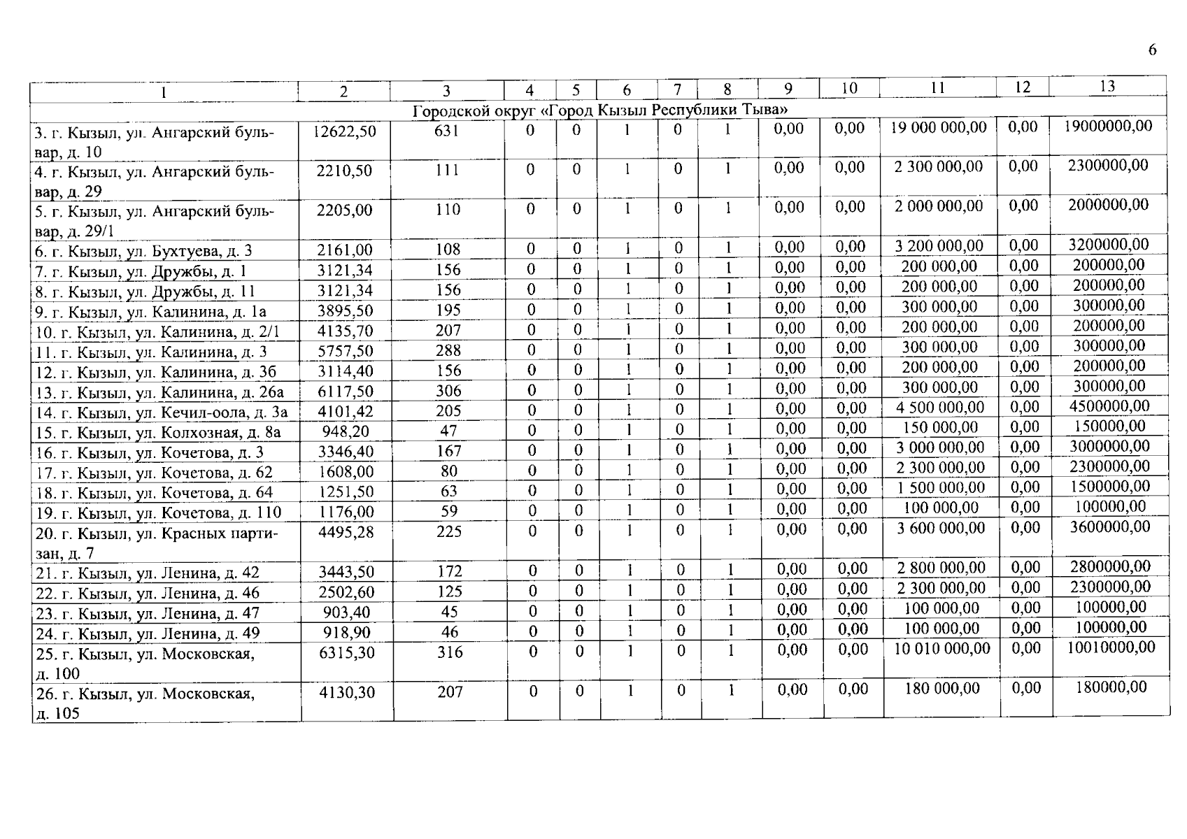
"О внесении изменения в краткосрочный план реализации региональной программы "Капитальный ремонт общего имущества в многоквартирных домах, расположенных на территории Республики Тыва, на 2014-2043 годы" на 2023-2025 годы"
"О внесении изменения в краткосрочный план реализации региональной программы "Капитальный ремонт общего имущества в многоквартирных домах, расположенных на территории Республики Тыва, на 2014-2043 годы" на 2023-2025 годы"
Номер опубликования: 1700202309140005
Дата опубликования:
14.09.2023
