Официальное опубликование правовых актов
ОФИЦИАЛЬНОЕ ОПУБЛИКОВАНИЕ
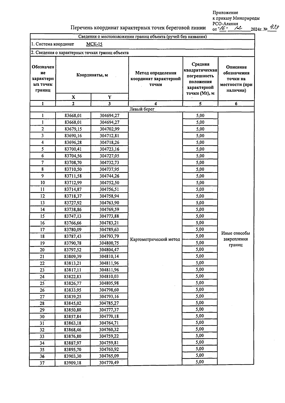
Приказ Министерства природных ресурсов и экологии Республики Северная Осетия-Алания от 16.12.2024 № 439
"Об утверждении местоположения береговой линии (границы водного объекта)"
(Зарегистрирован 17.12.2024 № 0368-24-1)
Номер опубликования: 1501202412190003
Дата опубликования: 19.12.2024
Страница №4 из 26:
Увеличить