Официальное опубликование правовых актов
ОФИЦИАЛЬНОЕ ОПУБЛИКОВАНИЕ
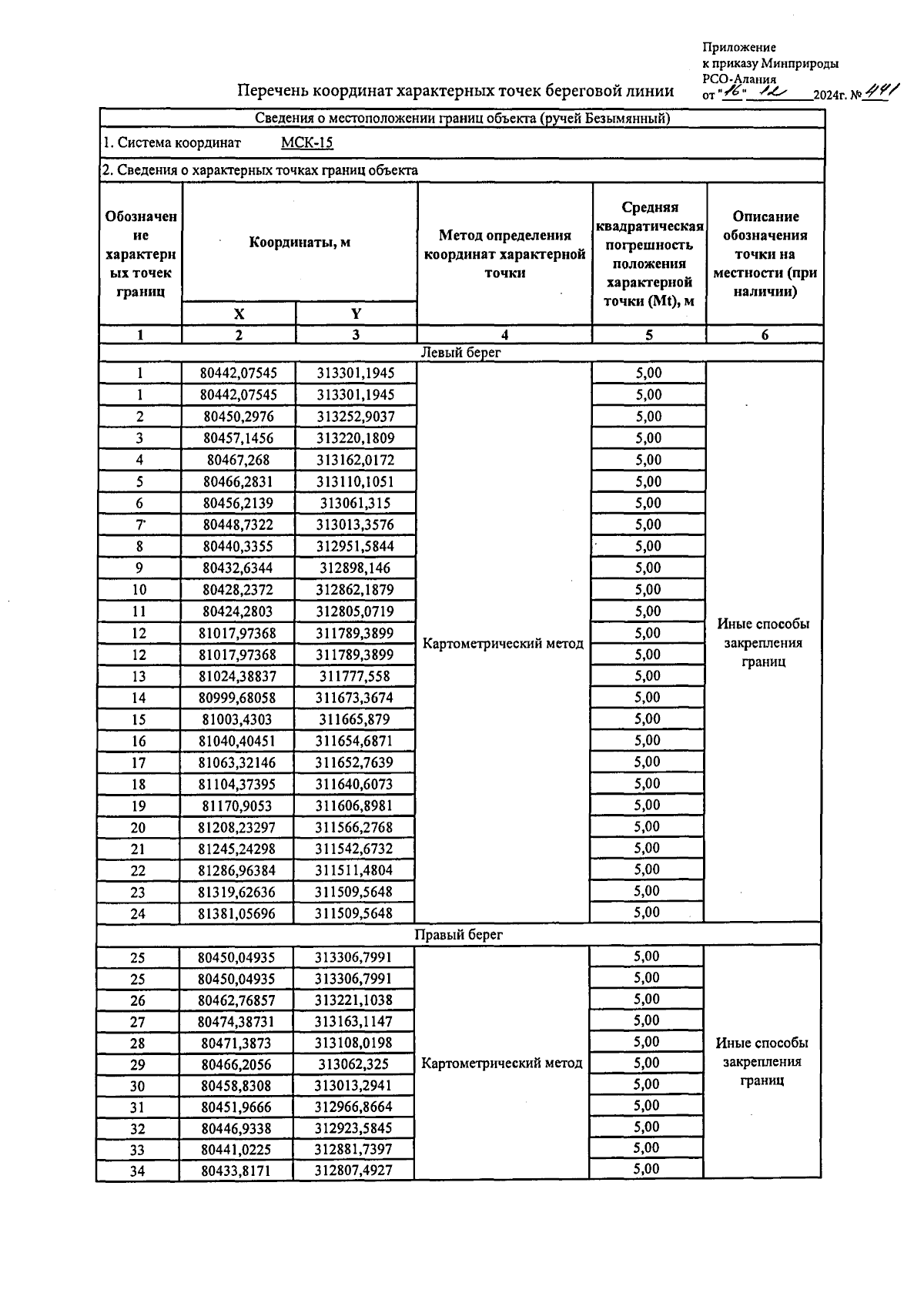
Приказ Министерства природных ресурсов и экологии Республики Северная Осетия-Алания от 16.12.2024 № 441
"Об утверждении местоположения береговой линии (границы водного объекта)"
(Зарегистрирован 17.12.2024 № 0370-24-1)
Номер опубликования: 1501202412190001
Дата опубликования: 19.12.2024
Страница №4 из 17:
Увеличить