Официальное опубликование правовых актов
ОФИЦИАЛЬНОЕ ОПУБЛИКОВАНИЕ
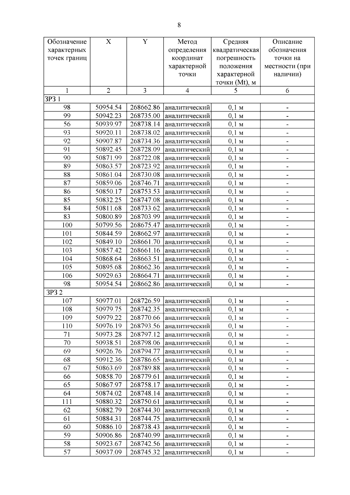
Постановление Правительства Республики Северная Осетия - Алания от 21.10.2025 № 406
"Об утверждении зон охраны объектов культурного наследия регионального значения, расположенных в Ирафском районе Республики Северная Осетия-Алания, и требований к градостроительным регламентам в границах территории данных зон"
Номер опубликования: 1500202510280010
Дата опубликования: 28.10.2025
Страница №46 из 55:
Увеличить