Официальное опубликование правовых актов
ОФИЦИАЛЬНОЕ ОПУБЛИКОВАНИЕ
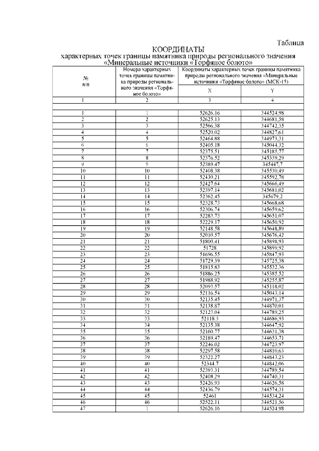
Постановление Правительства Республики Северная Осетия - Алания от 11.10.2022 № 436
"Об утверждении границ памятников природы регионального значения, расположенных на территории Республики Северная Осетия-Алания"
Номер опубликования: 1500202210140006
Дата опубликования: 14.10.2022
Страница №57 из 116:
Увеличить