Официальное опубликование правовых актов
ОФИЦИАЛЬНОЕ ОПУБЛИКОВАНИЕ
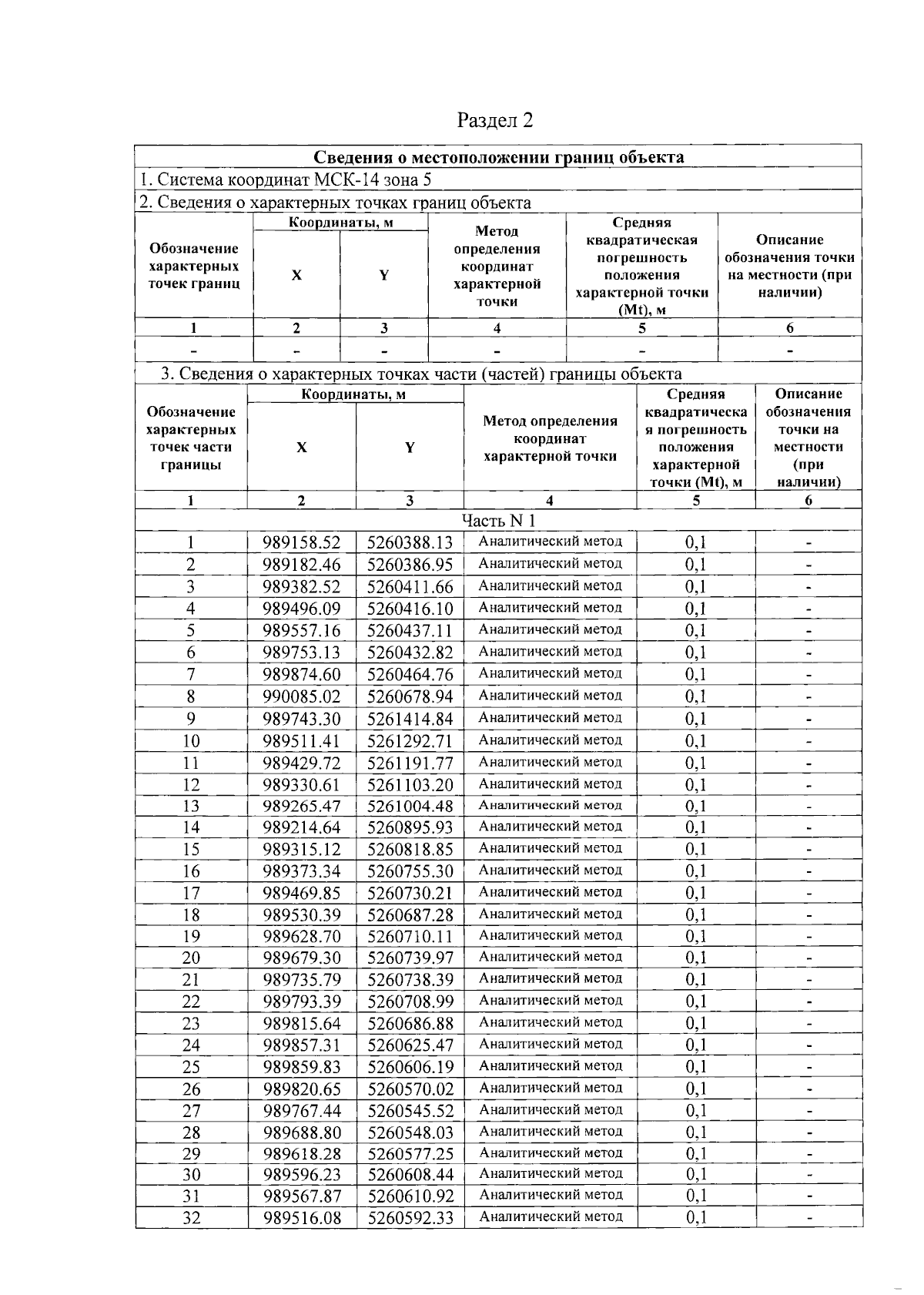
Приказ Управления по охране объектов культурного наследия Республики Саха (Якутия) от 28.05.2024 № 62-ОД
"Об утверждении требований к осуществлению деятельности и градостроительному регламенту в границах территории объекта культурного наследия регионального значения (достопримечательное место) "Уураахы Ысыах Сирэ"
(Зарегистрирован 29.05.2024 № RU1401420221928)
Номер опубликования: 1401202405300001
Дата опубликования: 30.05.2024
Страница №12 из 25:
Увеличить