Официальное опубликование правовых актов
ОФИЦИАЛЬНОЕ ОПУБЛИКОВАНИЕ
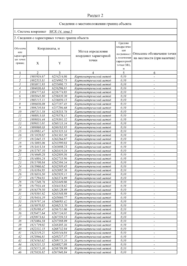
Приказ Министерства экологии, природопользования и лесного хозяйства Республики Саха (Якутия) от 07.06.2023 № 01-05/1-411
"Об установлении границ зон санитарной охраны водозабора на р. Яна п. Усть-Куйга Усть-Янского филиала АО "Теплоэнергосервис"
(Зарегистрирован 23.06.2023 № RU1401420221499)
Номер опубликования: 1401202306270001
Дата опубликования: 27.06.2023
Страница №17 из 71:
Увеличить