Приказ Министерства промышленности и геологии Республики Саха (Якутия) от 12.12.2018 № 678-ОД
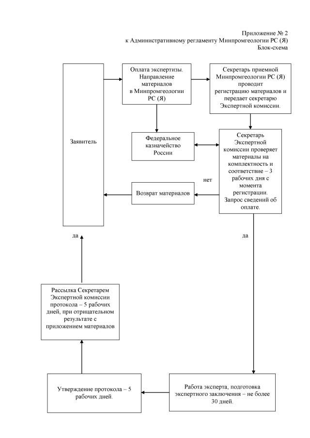
"Об утверждении административного регламента Министерства промышленности и геологии Республики Саха (Якутия) по проведению государственной экспертизы запасов общераспространенных полезных ископаемых, геологической, экономической информации о предоставляемых в пользование участках недр местного значения"
(Зарегистрирован 27.12.2018 № RU140152018166)
"Об утверждении административного регламента Министерства промышленности и геологии Республики Саха (Якутия) по проведению государственной экспертизы запасов общераспространенных полезных ископаемых, геологической, экономической информации о предоставляемых в пользование участках недр местного значения"
(Зарегистрирован 27.12.2018 № RU140152018166)
Номер опубликования: 1401201812290032
Дата опубликования:
29.12.2018
